Ответ на вопрос по матиматике №1091270: Сумма ряда равна: 3 8 6,32 Сумма ряда равна: 3 8 6,32 - Ответ на вопрос по матиматике №1091270Сумма ряда равна: 3 8 6,32 - Ответ на вопрос по матиматике №1091270
2026-01-202026-01-20СтудИзба
Сумма ряда равна: 3 8 6,32 - Ответ на вопрос по матиматике №1091270
Новинка
Вопрос
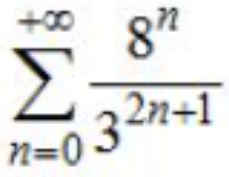
Сумма ряда
равна:- 3
- 8
- 6,32
Ответ
Возникли вопросы к материалу? Напиши в сообщения и решим возникший вопрос!
GDZ























