Ответ на вопрос по матиматике №1005206: Общим решением уравнения y'' + y' - 2y = e^(2x) является Общим решением уравнения y'' + y' - 2y = e^(2x) - Ответ на вопрос по матиматике №1005206Общим решением уравнения y'' + y' - 2y = e^(2x) - Ответ на вопрос по матиматике №1005206
2025-10-112025-10-11СтудИзба
Общим решением уравнения y'' + y' - 2y = e^(2x) - Ответ на вопрос по матиматике №1005206
Вопрос
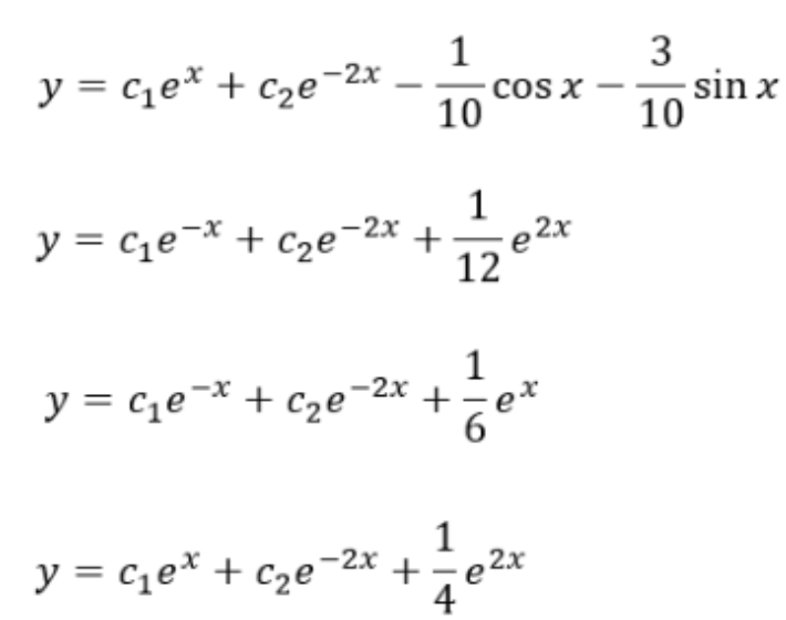
Общим решением уравненияy'' + y' - 2y = e^(2x)
является

Ответ
Возникли вопросы к материалу? Напиши в сообщения и решим возникший вопрос!
GDZ
























