Ответ на вопрос по физике №970044: Укажите выражение для коэффициента теплопроводности Укажите выражение для коэффициента теплопроводности - Ответ на вопрос по физике №970044Укажите выражение для коэффициента теплопроводности - Ответ на вопрос по физике №970044
2025-09-122025-09-12СтудИзба
Укажите выражение для коэффициента теплопроводности - Ответ на вопрос по физике №970044
Вопрос
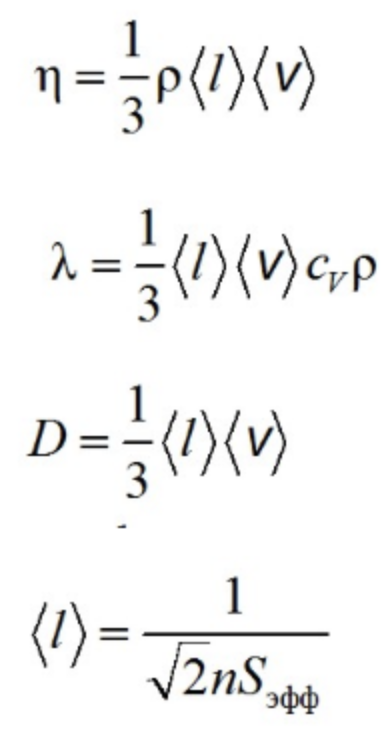
Укажите выражение для коэффициента теплопроводности
Ответ
Этот вопрос в коллекциях

Гарантия сдачи без лишних хлопот! ✅🎓 Ответы на тесты по любым дисциплинам, базы вопросов, работы и услуги для Синергии, МЭИ и других вузов – всё уже готово! 🚀 🎯📚 Гарантия качества – или возврат денег! 💰✅


















