Обобщением теоремы Остроградского - Гаусса для - Ответ на вопрос по физике №738361
-42%
Вопрос
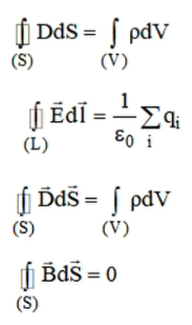
Обобщением теоремы Остроградского - Гаусса для электростатического поля в среде является уравнение
Ответ

Если нужен другой вариант работы или отдельная задача из любой работы, пишите в комментарии














