Ответ на вопрос по физике №350535: Мгновенное ускорение тела - это векторная физическая величина, которая находится как первая производная вектора скорости по времени измеряется в м/с2 , направлена под некоторым углом к вектору скорости скалярная физическая величина, которая рассчитывается по формуле измеряется в м/с2 векторная физическая величина, равная отношению вектора скорости ко времени измеряется в м/с 2, направлена поМгновенное ускорение тела - это векторная физическая - Ответ на вопрос по физике №350535Мгновенное ускорение тела - это векторная физическая - Ответ на вопрос по физике №350535
2025-05-042025-05-04СтудИзба
Мгновенное ускорение тела - это векторная физическая - Ответ на вопрос по физике №350535
-16%
Вопрос
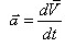
Мгновенное ускорение тела - это- векторная физическая величина, которая находится как первая производная вектора скорости по времени
измеряется в м/с2 , направлена под некоторым углом к вектору скорости - скалярная физическая величина, которая рассчитывается по формуле
измеряется в м/с2 - векторная физическая величина, равная отношению вектора скорости ко времени
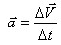
измеряется в м/с 2, направлена по вектору скорости - векторная физическая величина, равная отношению приращения вектора скорости к промежутку времени
измеряется в м/с2, направлена по приращению вектора скорости ![]()
Ответ
Этот вопрос в коллекциях

Гарантия сдачи без лишних хлопот! ✅🎓 Ответы на тесты по любым дисциплинам, базы вопросов, работы и услуги для Синергии, МЭИ и других вузов – всё уже готово! 🚀 🎯📚 Гарантия качества – или возврат денег! 💰✅
измеряется в м/с2 , направлена под некоторым углом к вектору скорости
измеряется в м/с2
измеряется в м/с 2, направлена по вектору скорости
измеряется в м/с2, направлена по приращению вектора скорости 


















