Каким образом вычисляется полная проводимость к-й - Ответ на вопрос по электротехнике №747956
Вопрос
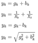
Каким образом вычисляется полная проводимость к-й ветви в методе проводимостей?

Ответ

Гарантия сдачи без лишних хлопот! ✅🎓 Ответы на тесты по любым дисциплинам, базы вопросов, работы и услуги для Синергии, МЭИ и других вузов – всё уже готово! 🚀 🎯📚 Гарантия качества – или возврат денег! 💰✅
meimei1337









