Определите верное выражение для комплекса тока I - Ответ на вопрос по электротехнике №739180
Вопрос
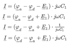
Определите верное выражение для комплекса тока I соответствуюшего значению тока i(t)
Ответ

🎓 Поможем сдать всё — тесты, практику, экзамены, курсовые, дипломы, отчёты! Закроем долги под ключ 🔑 Ведём от первой сессии до диплома 🏆 Работаем с Синергией, МЭИ и другими вузами 🤝 Гарантия результата или возврат денег 💰 Пиши! 🚀
meimei1337
















