Ответ на вопрос по электротехнике №33567: Для синусоидальных токов известно показание приборов электромагнитной системы A1t А2 и А3. Возможно ли, чтобы показания приборов были одинаковыми? Да, возможно, если амплитуды токов одинаковые Да, возможно, если амплитуды токов одинаковые и сдвиг фаз между токами равен ±п/6 Нет, не возможно Для синусоидальных токов известно показание - Ответ на вопрос по электротехнике №33567Для синусоидальных токов известно показание - Ответ на вопрос по электротехнике №33567
2024-02-282024-02-28СтудИзба
Для синусоидальных токов известно показание - Ответ на вопрос по электротехнике №33567
-47%
Вопрос
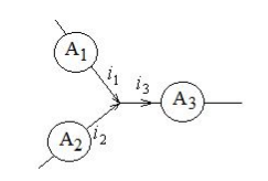
Для синусоидальных токов известно показание приборов электромагнитной системы A1t А2 и А3. Возможно ли, чтобы показания приборов были одинаковыми?
- Да, возможно, если амплитуды токов одинаковые
- Да, возможно, если амплитуды токов одинаковые и сдвиг фаз между токами равен ±п/6
- Нет, не возможно
Ответ

Хочешь зарабатывать на СтудИзбе больше 10к рублей в месяц? Научу бесплатно!
Начать зарабатывать
Начать зарабатывать
zzyxel
























