В симметричной трехфазной цепи фазные токи принимают - Ответ на вопрос по ЭиЭ №283820
-42%
Вопрос
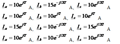
В симметричной трехфазной цепи фазные токи
принимают значения 
Ответ
Этот вопрос в коллекциях
-13%

🎓 Поможем сдать всё — тесты, практику, экзамены, курсовые, дипломы, отчёты! Закроем долги под ключ 🔑 Ведём от первой сессии до диплома 🏆 Работаем с Синергией, МЭИ и другими вузами 🤝 Гарантия результата или возврат денег 💰 Пиши! 🚀
















