Ответ на вопрос №246441: Даны передаточные функции фильтров, выберите только КИХ фильтры Даны передаточные функции фильтров, выберите только КИХ фильтры - Ответ на вопрос №246441Даны передаточные функции фильтров, выберите только КИХ фильтры - Ответ на вопрос №246441
2025-01-202025-01-20СтудИзба
Даны передаточные функции фильтров, выберите только КИХ фильтры - Ответ на вопрос №246441
Вопрос
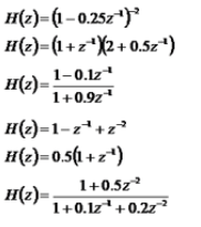
Даны передаточные функции фильтров, выберите только КИХ фильтры
Ответ

Гарантия сдачи без лишних хлопот! ✅🎓 Ответы на тесты по любым дисциплинам, базы вопросов, работы и услуги для Синергии, МЭИ и других вузов – всё уже готово! 🚀 🎯📚 Гарантия качества – или возврат денег! 💰✅
meimei1337

















