Ответ на вопрос №740943: Данная мера оценки доли примесей в узле дерева решений - это: энтропия мера информативности квадратичная ошибка ошибка классификации индекс Джини (Gini) Данная мера оценки доли примесей в узле дерева решений - это: - Ответ на вопрос №740943Данная мера оценки доли примесей в узле дерева решений - это: - Ответ на вопрос №740943
2025-06-222025-06-22СтудИзба
Данная мера оценки доли примесей в узле дерева решений - это: - Ответ на вопрос №740943
Вопрос
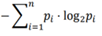
Данная мера оценки доли примесей в узле дерева решений - это:

- энтропия
- мера информативности
- квадратичная ошибка
- ошибка классификации
- индекс Джини (Gini)
Ответ

Гарантия сдачи без лишних хлопот! ✅🎓 Ответы на тесты по любым дисциплинам, базы вопросов, работы и услуги для Синергии, МЭИ и других вузов – всё уже готово! 🚀 🎯📚 Гарантия качества – или возврат денег! 💰✅
meimei1337


















