Перераспределение дохода
Лекция 44. Перераспределение дохода
РАЗДЕЛ 0. У БАРБОСА ЕСТЬ ВОПРОСЫ. Как быть с неравенством?
БАРБОС. Одни собаки ходят в роскошных натуральных шубах. У других шубы выстрижены, и они одеты в попонки, жилетики, в какие-то обдергунчики. Одни грызут вкусные мозговые кости, другие - пластмассовые жвачки. Есть большие, есть маленькие, умные и глупые. Словом, одни - одни, а другие - другие. Ничего не поделаешь.
ИГОРЬ. Ликвидировать неравенство доходов - это очень просто. Представь себе: государство вводит стопроцентный подоходный налог...
АНТОН. Как это?
ИГОРЬ. А так. Полностью изымает у всех заработанный доход. И выдает всем абсолютно одинаковое пособие.
АНТОН. А что, хорошая идея.
ИГОРЬ. Превосходная, гуманный друг мой, превосходная. Только какая сила тогда заставит домашние хозяйства предлагать фирмам факторы производства? Что заставит тебя, например, работать?
АНТОН. Ну, не все же такие уж лентяи... Труд есть естественная потребность здорового человека...
Рекомендуемые материалы
БАРБОС. Конечно. И здорового пса. Лежать целый день на боку ужасно утомительно. Необходимо побегать, попрыгать, повозиться. Усталость от доброй возни - превосходное ощущение.
ИГОРЬ. Ты, разумеется, бездельничать не будешь. Ты слишком любишь свою швейную мастерскую. И ты будешь делать то, что тебе нравится, а вовсе не то, что люди захотят носить.
АНТОН. Со мной работает отличный дизайнер.
ИГОРЬ. О да, он человек с богатой фантазией. Вы с ним будете придумывать чрезвычайно эффектные камзолы о восьми рукавах, тороидальные брюки, плащи в форме листа Мебиуса. И при этом вы - лучшая часть человечества. Худшая будет просто бездельничать. Так что делить поровну будет нечего. Введение такого равенства - это ампутация невидимой руки Адама Смита.
АНТОН. Какой ужас! Неужели ничего нельзя поделать?
ИГОРЬ. Можно. Придется ввести отчетливо видимую руку с хорошо осязаемой дубиной. Она и будет координировать деятельность членов общества. Причем, как показывает опыт человечества, делает она это плоxo, а равенства все равно не получается.
АНТОН. Так ты против равенства?
ИГОРЬ. Что ты, я - за. Пусть каждый предлагает столько, сколько может и хочет, пусть получает вознаграждение в соответствии со спросом на предложенное. И если все при этом получат поровну, то в этом я не вижу ничего плохого.
АНТОН. Это было бы прекрасно. Исчезла бы зависть. Говорят, отвратительное чувство. Но ведь у людей разные возможности. Есть старые, есть больные, есть просто неумехи. Они же ничего не заработают.
ИГОРЬ. Верно. И есть здоровые молодые люди с хорошо подвешенными руками, не находящие себе работы. Конечно, им нужно помочь. Но это уже не проблема равенства или неравенства, а проблема бедности. Это совсем другое дело.
АНТОН. Если один - богатый, другой - очень богатый, а третий - невероятно богатый, то бедности нет, а неравенство есть. Я тебя правильно понял? А не будет ли наименее богатый считаться бедным в таком обществе? И вообще - что есть бедность?
ИГОРЬ. Конечно, это непростой вопрос. Американский бедный и индийский бедный бедны по-разному.
АНТОН. У Григория Александровича Потемкина был Таврический дворец, но не было телевизора. У тебя есть телевизор, но нет Таврического дворца. Кто беднее?
БАРБОС. А у меня есть хозяин. Пес, у которого нет хозяина, - по-настоящему бедный пес. Остальное не так важно.
ИГОРЬ. Государственные службы пользуются, так сказать, техническими критериями, чтобы определить, кто именно бедный. Одни считают бедными тех, чей доход меньше двух третей среднего дохода по стране. Другие считают бедными десять процентов наименее обеспеченных. Третьи устанавливают минимальную потребительскую корзину и считают бедными тех, кому она не по карману. А некоторые ученые люди считают бедными тех, кто сам себя считает бедным. Государству нужно определить, у кого изъять часть дохода и кому передать трансферты - и денежные пособия, и так называемые реальные трансферты - услуги здравоохранения, образования и др.
БАРБОС. Как говорил в одной сказке об Италии мальчик Пепе, юркий, как ящерица, "когда от многого берут немножко, это не кража, а просто дележка" .
АНТОН. Все-таки когда неравенство слишком велико, это признак социального неблагополучия.
ИГОРЬ. Да, и государства используют перераспределение, чтобы удерживать неравенство в приемлемых пределах. А для этого приходится его измерять. В лекции 20 мы уже говорили о показателях, используемых для этих целей. А в этой лекции мы рассмотрим еще один - индекс Аткинсона. Он непосредственно связан с функциями общественного благосостояния.
БАРБОС. Ну вот. Теперь еще и Аткинсона. Мало нам было индексов Ласпейреса-Пааше- Конюса- Фишера - Джини-Херфиндаля- Хиршмана-Линда- Бейна-Папандреу... А еще Реального дохода и Стоимости жизни. Не начать ли их коллекционировать?
РАЗДЕЛ 1. Почему необходимо перераспределение?
Рассматривая проблему неравенства под различными углами зрения, можно выделить несколько аргументов в пользу его снижения и, следовательно, перераспределения доходов в обществе. Говоря о неравенстве с позиций экономики благосостояния, следует отметить возможную взаимосвязь между социальным неравенством и размером общественного благосостояния. При определенных предположениях о функции общественного благосостояния (аддитивность; убывающая предельная полезность по доходу; индивидуальные функции полезности одинаковы и ставят полезность в зависимость только от дохода индивида) она достигает своего максимума в условиях полного равенства (см. лекцию 20). Поэтому любое снижение неравенства, вызванное перераспределением дохода, приводит к росту общественного благосостояния. Такое перераспределение дохода в полной мере отвечает реализации принципа максимина, положенного в основу функции общественного благосостояния Дж. Роулза. При других допущениях (неаддитивность, различие в индивидуальных функциях полезности) повышение благосостояния может потребовать неравенства доходов.
Второй аргумент в пользу перераспределения доходов в обществе носит макроэкономический характер - это существование определенной взаимосвязи между уровнем социального неравенства и темпами экономического роста. По сути, этот аргумент несколько противоречив и используется и сторонниками, и противниками процессов перераспределения. С одной стороны, чем менее интенсивный характер носят перераспределительные процессы, тем сильнее стимулирование индивидов к производительному труду, которое проявляется в возможности получения ими высоких реальных доходов. В этом смысле неравенство - это цена, которую общество вынуждено платить за эффективную экономическую систему и стабильный экономический рост.
Однако слишком высокий уровень неравенства приводит, напротив, к снижению экономического роста в стране (т. е. между неравенством и темпами экономического роста существует взаимосвязь в форме выпуклой вверх параболы - с ростом неравенства происходит увеличение темпов экономического роста только до определенного уровня, начиная с которого при дальнейшем увеличении неравенства темпы экономического роста снижаются). Поэтому целесообразно регулировать неравенство путем проведения политики перераспределения и не допускать слишком высокий его уровень. Третья причина связана, пожалуй, с наиболее ярким проявлением неравенства - с проблемой бедности. Бедность существует в любой стране, независимо от достигнутого в ней уровня жизни. К бедным относят людей, которые не имеют возможности жить в соответствии с минимально необходимыми стандартами, принятыми в данной стране. Вследствие этого они лишены также возможности в полной мере использовать все права и привилегии, гарантированные гражданам этой страны. Для бедных слоев населения характерны низкие уровень и качество жизни, высокая смертность (в том числе детская); значительная часть правонарушений также совершается представителями бедного населения. Ввиду этих соображений, а также в соответствии с принципами социальной справедливости и общепринятыми нормами в демократическом государстве снижение размеров бедности является одной из целей государства, реализация которой осуществляется с помощью политики перераспределения доходов. Механизмы перераспределения доходов достаточно разнообразны, и применение того или иного механизма зависит от существующего в стране уровня неравенства, его структуры, причин, а также специфики целей и задач политики по снижению неравенства. Поэтому, прежде чем ставить задачу перераспределения доходов, нужно понять, что такое неравенство и как оно может быть оценено (измерено).
РАЗДЕЛ 2. Неравенство и его измерение
Одна из серьезных проблем, которые постоянно беспокоят общество в современном мире, - неравенство людей даже в самых демократических и экономически развитых странах.
Понятие неравенства чрезвычайно сложное и емкое. В лекции 20 мы уже затрагивали один из аспектов этой проблемы, рассматривая неравенство доходов населения.
Несомненно, однако, что понятие социального неравенства гораздо шире и не ограничивается неравенством членов общества по абсолютной и относительной величине получаемого ими дохода. Экономистов в первую очередь интересует неравномерное распределение общественного богатства или ресурсов, которыми располагают граждане страны.
Говоря о социальном неравенстве, мы имеем в виду прежде всего наличие в обществе богатых и бедных людей. Однако, относя того или иного человека к категории "богатых", мы руководствуемся не только и не столько размером получаемого им дохода, сколько уровнем его богатства.
Несомненно, что оба понятия - и доход, и богатство - определяют покупательную способность человека.
Однако если доход показывает, насколько возросла покупательная способность за определенный период, то богатство определяет объем покупательной способности на данный фиксированный момент.
То есть в терминах "запасы-потоки" богатство представляет собой запас, а доход - поток. Например, если в начале года вы положили в банк 10 тыс. р. под 20 % годовых, это значит, что ваше богатство составляло 10 тыс. в начале года, а в конце - 12 тыс. р.
При этом вы получили за год доход в размере 2 тыс. р.
Индивидуальное богатство может принимать три основные формы:
1) "физическое" богатство - земля, дом или квартира, автомобиль, бытовая техника, мебель, произведения искусства и драгоценности и другие потребительские блага;
2) финансовое богатство - акции, облигации, банковские депозиты, наличные деньги, чеки, векселя и т. п.;
3) человеческий капитал - богатство, воплощенное в самом человеке, созданное в результате воспитания, образования и опыта (т. е. благоприобретенное), а также полученное от природы (талант, память, реакция, физическая сила и т. п.).
В самом общем виде уровень социального неравенства определяется различиями в объемах и структуре индивидуального богатства, а также в способах его получения и использования. Например, для одних людей основным источником физического и финансового богатства становится накопление дохода в предшествующие периоды времени, связанное, соответствен. но с ограничением в объемах и структуре потреблении товаров и услуг. Другие получают эти формы индивидуального богатства по наследству.
Или другой пример - богатые члены общества получают доступ к таким благам и услугам, например в сфере образования, потребление которых приводит к увеличению их индивидуального богатства в форме человеческого капитала.
Каждый из трех видов богатства может служить для своего владельца источником определенного дохода. "Физическое" богатство приносит нам доход в натуральной форме - например, мы смотрим телепередачи, слушаем музыку, стираем белье или моем посуду с помощью бытовой техники. Вместе с тем оно может быть и источником денежных поступлений - если мы решим сдавать земельный участок или квартиру в аренду или использовать автомобиль для перевозки пассажиров. Финансовое богатство тоже дает денежный доход - проценты или дивиденды. Но главный источник дохода для большинства людей то богатство, которым обладает каждый, - это человеческий капитал.
Доход, приносимый человеческим капиталом, выступает в различных формах. Когда человек трудится, он получает зарплату и, возможно, другие - неденежные - выгоды, такие как удовлетворение от интересной творческой работы, общения с коллегами и т. п. В часы, свободные от работы по найму, он наслаждается досугом или трудится в своем хозяйстве, например, выращивая розы в саду или огурцы в огороде.
Для количественной оценки неравенства можно использовать различные статистические данные, характеризующие перечисленные выше формы индивидуального богатства.
Наиболее подходящим источником информации являлись бы ряды распределения населения (или домохозяйств) по уровню богатства. Однако его статистическую оценку получить достаточно сложно. Практически единственным источником информации, по которому можно получить соответствующие ряды распределения, являются данные специально организованных выборочных обследований населения и домохозяйств: в сущности, в процессе этих обследований респонденты должны некоторым образом оценить все свои активы и долговые обязательства. Их разница (чистые активы) и будет составлять богатство рассматриваемой единицы (домохозяйства). Очевидно, что такие обследования проводятся достаточно редко, поэтому большинство исследователей для оценки неравенства использует гораздо более доступный источник информации - ряды распределения населения по уровню среднедушевого совокупного денежного дохода.
Совокупный доход каждого человека складывается из многих, самых разнообразных компонент, причем представить в денежной форме можно далеко не каждую из них. В общем виде совокупный доход определяется как сумма:
YF = YM + YN,
где YF - совокупный доход индивида; YM - денежный доход, получаемый из всех возможных источников (зарплата, проценты и дивиденды, предпринимательский доход, доходы от аренды и др.); YN - доход, получаемый в неденежной форме (удовлетворение от работы, использование физического капитала и наслаждение досугом).
При заданных ценах совокупный доход есть не что иное, как мера возможностей каждого человека в потреблении им различных благ (как товаров и услуг, так и свободного времени). Говоря привычным экономисту языком, это не что иное, как "обобщенное" бюджетное ограничение, с помощью которого вполне естественно измерять неравенство в распределении ресурсов между разными людьми: ведь если бы предпочтения у всех были идентичными, фактическое потребление различалось бы только за счет неодинаковых бюджетных ограничений.
Подобный теоретический подход нашел свое выражение в известном определении Саймонса[1]: "Индивидуальный доход можно определить как алгебраическую сумму (1) реализованного потребления (в его рыночной оценке) и (2) изменения в объеме располагаемого богатства на начало и на конец периода". Доход, таким образом, может расти, даже если фактическое потребление снижается - это выбор самого индивида. Доход растет, если растет потенциальная возможность потребления.
Определение Саймонса, по мнению экономистов важно потому, что оно включает многие виды дохода, которые, как правило, не учитываются традиционной статистикой, например следующие.
1. Неденежные выгоды, получаемые от работы. Иногда их можно выразить в рыночных ценах (например, путевка в дом отдыха, оплаченная предприятием). В некоторых случаях, однако, денежную оценку неденежных выгод получить достаточно сложно. Примером может служить командировка, которую трудно однозначно определить как "чистую" работу, замаскированный досуг или смесь одного и другого. Точно так же невозможно дать рыночную оценку дружелюбной обстановке на рабочем месте, отношениям с коллегами, удовлетворению от интересной работы.
2. Собственная продукция. Товары и услуги, произведенные в свободное от работы время для себя, имеют рыночную цену. Например, мытье окон или уход за детьми, стирку или ремонт квартиры можно оплатить, а можно все это сделать самим. В любом случае эти услуги или товары - реализованное потребление и, значит, включаются в совокупный доход.
3. Вмененная рента. Стоимостная оценка "услуг", получаемых человеком за счет принадлежащих ему товаров длительного пользования. В первую очередь это проживание в собственном доме (квартире) - в противном случае пришлось бы вносить ежемесячную арендную плату. Точно так же и другие предметы длительного пользования (автомобиль, холодильник, мебель) можно купить и использовать "бесплатно", а можно взять напрокат.
Таким образом, эти "услуги" могут быть оценены в рыночных (альтернативных) ценах.
4. Приобретение или потеря части богатства, в соответствии с определением Саймонса, также должны включаться в совокупный доход (со знаком плюс или минус соответственно).
Однако ясно, что определение Саймонса, с теоретической точки зрения весьма разумное, на практике оказывается неприменимым. Поскольку мы не можем оценить в денежном выражении удовлетворение от работы и досуга, а также многие другие неденежные выгоды, приходится фокусировать внимание на денежных доходах и именно по этому показателю давать оценку неравенства людей в той или иной стране (регионе, городе).
Вместе с тем экономистам полезно помнить, что "удобные" для расчетов показатели дифференциации денежных доходов дают лишь весьма приблизительное представление о неравенстве в распределении совокупного индивидуального дохода и тем более общественного богатства. Определенные проблемы возникают у исследователей и при оценке самих денежных доходов. Первый вопрос: как определить единицу совокупности и единицу наблюдения? С одной стороны, мы хотим оценить неравенство в доходах отдельных людей. С другой стороны, люди живут в семьях, общий (суммарный) доход которых используется всеми их членами. В экономической статистике в качестве изучаемого признака обычно используют среднедушевой денежный доход семьи. Однако в этом случае остается открытым вопрос: как на самом деле распределяется доход внутри семьи, действительно ли все ее члены получают поровну, или существует "внутрисемейное" неравенство, которое, таким образом, не улавливается статистикой?
Другой вопрос: какой период выбрать для оценки доходов? Проблема возникает в связи с тем, что доходы, как правило, поступают неравномерно. Многие виды работ в экономике носят сезонный характер и соответственно характеризуются сезонными заработками.
Доходы от капитала также обычно поступают неравномерно. Для российской экономики сегодня характерны изменения в дифференциации доходов в связи с невыплатой заработной платы: одни и те же семьи перемещаются из средне- или высокодоходных групп в низкодоходные, и обратно. Наиболее подходящий для этих целей показатель - среднегодовой доход.
Третья проблема - различия в уровне цен между регионами, особенно характерные для стран с большой территорией и недостаточно развитыми рыночными отношениями.
Например, в сегодняшней России специалисты оценивают межрегиональный разброс стоимости жизни в 4-5 раз. Это значит, нельзя считать равными доходы, скажем, в 1000 р. в месяц, полученные жителями Владивостока и Липецка. В целом экономическое неравенство определяется двумя составляющими: неравенством между средними характеристиками доходов населения отдельных регионов и дифференциацией населения внутри каждого из регионов. Межрегиональное неравенство необходимо, таким образом, оценивать с учетом региональных различий в уровнях цен - результаты в этом случае оказываются весьма отличными от показателей дифференциации номинальных денежных доходов.
Наконец, четвертая проблема - это качество статических данных, получаемых в ходе бюджетных следовании семей и домохозяйств. Семьи, высказавшие добровольное согласие предоставить в распоряжениe органов государственной статистики информацию своих доходах и расходах и их структуре, - это, как правило, низко- и среднедоходные семьи. Наименее обеспеченные семьи, состоящие из пенсионеров, беженцев, вынужденных переселенцев, а также военнослужащие срочной службы и ряд других категорий беднейшего населения оказываются вне пределов бюджетной выборки, равно как и наиболее высокодоходные слои населения. В результате семейное обследование бюджетов характеризует уровень и дифференциацию официально получаемых номинальных доходов 95-00 млн чел., или 65-68 % населения России.[2]
В этой вязи органы государственной статистики проводят расчеты, или дооценку, ряда распределения населения о доходу с целью распространить его на все население максимально возможно учесть численность наименее и наиболее обеспеченных слоев населения. Начиная с 1993 г. в России проводится дооценка и еще одного важнейшего показателя, который применяется при расчете показателей дифференциации, - среднедушевого дохода. В настоящее время эта дооценка вставляет около 20 % от величины среднедушевого (дохода, определяемой по данным, полученным из различных источников. Ее расчет основан на использовали величины розничного товарооборота (который в ;вою очередь досчитывается на объем торговли неорганизованного рынка), информации о прочих расходах населения (например, в 1997 г. в личной собственности граждан России находилось 17.5 млн легковых автомобилей, в том же году было продано 4.5 млн зарубежных туристических путевок) и приросте наличных денег и сбережений населения.
Измерение неравенства по рядам распределения населения по доходу можно производить с использованием порядковых статистик и их соотношений, а также других показателей, характеризующих дифференциацию доходов населения (подробно эти характеристики рассматривались нами в лекции 20). Однако применение их связано с определенными ограничениями.
Во-первых, практически ни одна из этих характеристик, как таковая, не дает представления о размерах (и тем более о динамике) неравенства. Для того чтобы оценить неравенство с помощью какого-либо показателя, необходима определенная база сравнения или, как минимум, еще одно значение этого показателя. В качестве такой базы можно использовать значение соответствующего показателя в некоторые моменты времени в прошлом, в другой стране, регионе и т. п. Некоторые показатели размеров неравенства (например, коэффициент Джини) основаны на сравнении фактического значения показателя с его значениями, отвечающими ситуациям полного социального равенства и полного социального неравенства. В этом подходе есть определенный недостаток, поскольку обе ситуации являются гипотетическими, и в реальной действительности определенный уровень неравенства в обществе необходим.
Во-вторых, сравнение показателей неравенства должно проводиться при прочих равных условиях, в которых находятся единицы наблюдения. Если, например, при исследовании динамики неравенства в стране или регионе используются стоимостные показатели, то при их сравнении следует учитывать инфляцию; аналогичным образом при сравнительном изучении неравенства в различных странах или регионах следует учитывать различную стоимость жизни и покупательную способность валюты. Одним из показателей, связывающих социальное неравенство и общественное благосостояние, является индекс Аткинсона, о котором пойдет речь в конце раздела.
Однако даже если представить себе, что дифференциация денежных доходов оценена строго, нельзя считать этот показатель адекватным отражением неравенства в обществе.
На самом деле, два индивида с разным уровнем дохода могут оказаться "равными", и наоборот, два человека с одинаковым доходом - "неравными", Причин тому несколько.
Во-первых, как уже было сказано выше, кроме денежного дохода, люди получают доходы в неденежной форме (удовлетворение от работы, отдых и т. д.). Их вкусы (предпочтения) могут быть различны. Если неравенство говорить о равенстве в терминах полезности, то человек с низким доходом может получать большее удовлетворение от продолжительного досуга, так как работает он немного, а отдых для него важнее материальных благ.
Наоборот, тот, кто больше ценит деньги (т. е. товары и услуги, которые можно, таким образом, купить), добровольно сокращает свой досуг, так как ценит его ниже. При этом оба могут достичь более высокого уровня полезности: один - сокращая доход, другой - увеличивая его.
Во-вторых, разница в доходах может быть вызвана возрастными различиями. Если опытный сорокалетний работник получает вдвое больше, чем неквалифицированный молодой человек 20 лет, здесь нет никакого неравенства. Старший получал вдвое меньше 20 лет назад, когда только начинал трудовую карьеру, а молодой, приобретя опыт и квалификацию, тоже в перспективе удвоит свой заработок. В данном случае мы имеем дело с различием в доходах, вызванным эффектом жизненного цикла, или естественным неравенством. Ряд исследований посвящен проблеме выделения естественного неравенства, присущего любому обществу и связанного с неоднородностью по возрасту его членов, из количественных мер общего неравенства. Например, М. Паглин показал, что после вычленения эффекта естественного неравенства коэффициент Джини по домохозяйствам США снизился в 1972 г. на 38 % [3].
В-третьих, если в оценке благосостояния исходить из полезности, то для одной и той же семьи снижение среднедушевого дохода может сопровождаться ростом полезности.
Например, рождение желанного ребенка сокращает среднедушевой доход семьи, но одновременно увеличивает полезность, так что семья может в итоге сохранить прежний жизненный стандарт.
Кроме того, одинаковый денежный доход не гарантирует равенства даже при идентичных предпочтениях. Дело в том, что для стран с недостаточно развитыми рыночными отношениями характерно неравенство в доступе к определенным благам. Если два человека имеют одинаковый денежный доход, но один из них живет в городской квартире со всеми удобствами и телефоном, а другой - в деревенском доме с колодцем во дворе, то вряд ли здесь можно говорить о равенстве. Равенство номинальных доходов в этом случае сопровождается, как пишут А. Аткинсон и Дж. Миклерайт, "разницей в жизненных стандартах".[4]
И наконец, при одинаковом денежном доходе две семьи могут получать разные объемы трансфертов в натуральном выражении (это, например, здравоохранение, образование и т. п.), что может быть связано с принадлежностью семьи или ее отдельных членов к определенной социально-демографической группе. В итоге при равных денежных доходах налицо неравенство потенциальных возможностей в потреблении (согласно определению Саймонса).
Вот почему можно утверждать, что показатели дифференциации среднедушевых денежных доходов семей в целом не могут служить адекватными индикаторами неравенства в обществе. Вместе с тем они широко используются в статистике многих стран мира, а также и международными организациями в расчете обобщающих показателей достигнутого страной уровня экономического и(или) социального развития при проведении межстрановых сравнений.
Обратимся вновь к утверждению о том, что определенный уровень социального неравенства присущ любому обществу. Однако даже при равном его уровне в одной стране неравенство может стать социальной проблемой, а в другой - нет. Социальной проблемой неравенство становится, если абсолютные и относительные размеры низкодоходных групп населения велики, т. е. если в обществе появляется достаточно большой слой бедных людей.
Различные Точного определения бедности и единых критериев определения отнесения индивида к категории бедного населения не бедности существует. В литературе по проблемам бедности принято различать понятия абсолютной и относительной бедности.
Для определения абсолютной бедности рассчитывают минимальный доход, который требуется для удовлетворения основных потребностей, необходимых для физического выживания индивида. Все индивиды с доходом ниже этого минимального доходаштаются бедными. Абсолютная бедность не зависит г конкретной страны или общества, поскольку при ее определении предполагается, что минимальные потребности всех индивидов одинаковы.
В относительном смысле бедными можно считать тех людей, которые не могут позволить себе приобретение и потребление благ и услуг, принятых в данном обществе за минимально необходимый жизненный стандарт. Очевидно, что для стран с разным уровнем жизни этот стандарт будет разным, и при одном и том же абсолютном размере дохода человек может быть отнесен к категории бедных в какой-либо развитой стране, например в Швеции, и попасть в категорию богатых в стране с низким уровнем жизни, например в Чаде.
В России в качестве официального масштаба бедности используется показатель численности населения с доходами ниже прожиточного минимума (для населения в целом и дифференцирование для отдельных социальных групп). Под прожиточным минимумом понимается граница дохода, обеспечивающего потребление на минимально допустимом уровне. Прожиточный минимум учитывает расходы на питание (с учетом необходимой калорийности и питательной ценности), расходы на необходимые непродовольственные товары и услуги, налоги и другие обязательные платежи, которые должны осуществлять семьи с низким уровнем дохода. В основу его расчета на практике положена стоимость набора из 25 основных продуктов питания, которая определяется ежемесячно (а в периоды высокой инфляции - еженедельно).
Получить более детальную характеристику размеров бедности, выявить ее причины и структуру можно с помощью показателей, характеризующих, насколько далеки доходы бедного населения от черты бедности или насколько велика доля крайне бедного населения в общей численности бедных слоев населения. Приведем некоторые показатели, которые используются в этих целях в российской статистике:
- дефицит дохода - это отношение общей суммы доходов населения, недостающих до величины прожиточного минимума, к общей сумме денежных доходов населения, выражаемое в процентах;
- крайняя бедность - численность семей, среднедушевой доход в которых составляет на момент обследования не более половины прожиточного минимума;
- постоянная бедность - численность семей, размер среднедушевого дохода в которых был ниже прожиточного минимума в течение года, предшествующего моменту обследования.
Психологические аспекты понятия бедности тесно связаны с субъективными оценками со стороны домохозяйств принадлежности к бедным семьям, с лишениями (например, нехватка денег на покупку определенных продуктов питания, услуг, товаров длительного пользования, отсутствие качественного жилья и т. д.). Эти критерии, как правило, непосредственно связаны с богатством домохозяйств и позволяют оценивать уровень бедности через показатель богатства, а не дохода (о недостатках последнего для измерения неравенства мы уже упоминали выше). Кроме того, в них учитываются нематериальные факторы, характеризующие принадлежность домохозяйства к определенному социальному классу. Специальный измеритель неравенства, связанный с функцией общественного благосостояния, был предложен в 1970г. британским экономистом А. Аткинсоном и в современной экономической литературе получил название индекса Аткинсона. Построение индекса Аткинсона основано на следующих допущениях.
1. Полезность дохода каждого из п членов общества описывается функцией:
|
|
где Yi, ui - доход iтого индивида и его полезность; e - константа, e ≥ 0. При e = 1 полезность описывается функцией:
| U(Yi) = lnYi . (2) |
Описанные здесь функции характеризуются убывающей предельной полезностью[5]; эластичность предельной полезности по доходу постоянна и равна -е.
2. Функция общественного благосостояния представляет собой сумму индивидуальных полезностей:
|
|
Эквивалентный уровень дохода Ye., определяется как такой 1 доход, который при равномерном распределении позволил бы обществу достичь того же уровня благосостояния, что и при существующем распределении доходов:
W(U(Ye), ... , U(Ye)) = W(U(Y1, ... , U(Yn)).
В соответствии с определением Ye и с учетом выражений (1), (2) для:


Отсюда:
|
|
|
|
Индекс Аткинсона определяется следующим образом:

где Ý - средняя арифметическая величина дохода:

Рассмотрим некоторые основные свойства индекса Аткинсона. Равенство (4) показывает, что эквивалентный доход со статистической точки зрения представляет собой степенную среднюю степени 1 - е (при е = 1 - среднюю геометрическую). При е = 0 степенная средняя совпадает со средней арифметической. Общее свойство степенных средних (при условии, что индивидуальные значения усредняемой величины неодинаковы) состоит в том, что чем меньше показатель степени, тем меньше и среднее. Но если индивидуальные значения одинаковы, то любое среднее значение совпадает с индивидуальным, и, следовательно, все средние равны друг другу. Таким образом, если бы все члены общества получали равные доходы, то выполнялось бы равенство Ye = Ý, но вследствие индивидуальных различий эквивалентный доход меньше среднего арифметического.
Эквивалентный доход характеризует минимальный уровень среднего дохода (а следовательно, и суммарного дохода всех членов общества), который позволил бы достичь того же уровня благосостояния, который достигается при существующем среднем доходе и при существующем неравенстве. Разрыв между Ý и Ye , тем больше, во-первых, чем больше дифференциация доходов, а во-вторых, чем больше параметр е, играющий роль меры неприятия обществом неравенства доходов. При стремлении е к бесконечности эквивалентный доход стремится к минимальному из существующих в данном обществе, что может быть охарактеризовано как абсолютное неприятие неравенства. Индекс Аткинсона есть, таким образом, относительное (в долях совокупного дохода) выражение той цены, которую общество платит за существующий уровень социального неравенства.
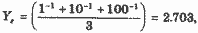
Поясним сказанное на примерах. Пусть общество состоит из трех членов с доходами 1, 10 и 100 ед.; средний арифметический доход составляет Ý = (1 + 10 + 100)/3 = 37. При е = 0.5 имеем:

и индекс Аткинсона IA = 1 - 22.29 / 37 = 0.398.
При е = 1 получаем Ye = (1·10·100)1/3 = 10; IA = 1 - 10/37 = 0.729. При e = 2:

Если е → ∞, то Ye → 1; предельное значение индекса Аткинсона равно 0.972.
Различия в доходах в приведенных примерах были весьма значительны.
Если мы рассмотрим пример с меньшей дифференциацией, положив индивидуальные доходы равными 26, 35 и 51 (с тем же средним арифметическим, равным 37), то получим следующие результаты:
е = 0.5, Ye = 36.35, IA = 0.0177,
е = 1, Ye = 35.70, IA = 0.0351,
е = 2, Ye = 34.47, IA = 0.0684.
Предельные значения при е → ∞ равны Ye = 26, IA = 0.297. Преимуществом индекса Аткинсона по сравнению с другими методами измерения неравенства считается тот факт, что проблема выбора функции общественного благосостояния сводится в этом индексе к тому, чтобы задать значение параметра е. Однако в этом же состоит и недостаток индекса Аткинсона, ибо однозначного (и тем более формализованного) решения этой проблемы найти нельзя. Поэтому при расчете индекса Аткинсона в распоряжении исследователей оказываются лишь некоторые соображения общеэкономического характера относительно параметра е и его интерпретации. В табл. 1 представлены данные о распределении населения РФ по уровню среднедушевого денежного дохода в 1994 и 1995 гг. По данным этих рядов распределения средний доход составил 194.98 тыс. р. в 1994 г. и 489.685 тыс. р. в 1995 г. В табл. 2 приводятся значения индекса Аткинсона, рассчитанные по этим рядам для различных значений параметра е, за 1994 и 1995 гг. Для каждого из приведенных значений е индекс Аткинсона выше в 1994 г. Это значит, что плата за существующее в обществе неравенство была в 1994 г. выше, чем в 1995 г., в первую очередь ввиду большего неравенства доходов населения (что подтверждается и значениями коэффициента Джини за эти годы).
Например, при е = 1.5 выгода, которую можно было бы получить от роста общественного благосостояния при равномерном распределении доходов, эквивалентна росту доходов на 0.355, или 35.5%, в 1994 г. и 0.281, или 28.1%, в 1995 г. Конечно, данные выводы верны при заданной функции общественного благосостояния (3).
Таблица 1. Распределение населения РФ по среднедушевому денежному доходу*
| 1994г. | 1995 г. | ||
| интервал дохода, тыс. руб. | удельный вес населения сданным доходом в общей численности населения, % | интервал дохода, тыс. руб. | удельный вес населения сданным доходом в общей численности населения, % |
| До 60 | 10.5 | 40.1-100.0 | 2.0 |
| 60.1-120 | 27.2 | 100.1-150.0 | 5.0 |
| 120.1-180.0 | 21.6 | 150,1-200.0 | 7.5 |
| 180.1-240.0 | 14.2 | 200.1-250.0 | 8.5 |
| 240.1-300.0 | 9.0 | 250.1-300.0 | 8.7 |
| 300.1-360.0 | 5.7 | 300.1-350.0 | 8.2 |
| 360.1-420.0 | 3.7 | 350.1-400.0 | 7.5 |
| 420.1-480.0 | 2.5 | 400.1-450.0 | 6.8 |
| 480.1-540.0 | 1.7 | 450.1-500.0 | 5.9 |
| 540.1-600.0 | 1.1 | 500.1-600.0 | 9.7 |
| 600.1-700.0 | 1.2 | 600.1-700.0 | 7.2 |
| 700.1-800.0 | 0.7 | 700.1-800.0 | 5.5 |
| 800.1-900.0 | 0.4 | 800.1-900.0 | 4.0 |
| 900.1-1000.0 | 0.3 | 900.1-1000.0 | 3.0 |
| Свыше 1000.0 | 0.2 | Свыше 1000.0 | 10.5 |
| Итого | 100.0 | 100.0 |
Источник: Российский статистический ежегодник. 1996. М., 1996. С. 117.
Таблица 2. Индекс Аткинсона для рядов распределения населения РФ по средведушевому денежному доходу
| 1994 г. | 1995 г. | |
| Средний доход,тыс. руб. | 194.98 | 489.675 |
| Индекс Аткинсона | ||
| е= 0.0 | 0.000 | 0.000 |
| 0.5 | 0.126 | 0.112 |
| 1.0 | 0.245 | 0.202 |
| 1.5 | 0.355 | 0.281 |
| 2.0 | 0.454 | 0.357 |
| 3.0 | 0.601 | 0.486 |
| 5.0 | 0.732 | 0.652 |
| Коэффициент Джини | 0.409 | 0.381 |
[1] Simons H. Personal income taxation. Chicago, 1938.
[2] Волкова Г., Мигранова Л., Римашевская Н. Вопросы методики оценки дифференциации доходов населения // Вопр. статистики. 1997. № 2. С. 31.
[3] Pagltn M. The measurement and trend of inequality : a basic revision // Amer. Econ. Rev. 1975. Vol. 66, N 4. P. 603.
[4]AtklnsonA. В., Micklewright J. Economic transformation in Eastern Europe and the distribution of income. Cambridge, 1992. P.145.
РАЗДЕЛ 3. Социальные трансферты в России и в других странах
Совокупность методов воздействия государства на распределение доходов принято называть перераспределительной политикой. Эти методы весьма многообразны и изменяются в широком диапазоне в зависимости от политических, культурных, исторических и прочих особенностей каждого конкретного государства. В данном разделе предлагается сравнительный анализ перераспределительной политики в России и в странах с развитой рыночной экономикой, в первую очередь в США и Германии. Выбор последних двух стран объясняется желанием обеспечить полноту сравнения, так как они представляют собой две хорошо идентифицируемые модели социальной политики - "американскую" и "европейскую".
Социальные трансферты - это определенные способы реализации перераспределительной политики. Внутренняя структура социальных трансфертов различается в зависимости от особенностей той или иной модели социальной политики и включает три укрупненных элемента:
1) социальное страхование,
2) общественная помощь,
3) детские пособия. Основное различие между моделями социальной политики заключается в трактовке детских пособий как самостоятельного элемента социальных трансфертов ("европейская" модель) либо как составной части общественной помощи ("американская" модель). В первом случае детские пособия предоставляются всем семьям, имеющим детей, а во втором - только тем, чьи доходы падают ниже определенного уровня (что выявляется с помощью специального теста). В системе общественной помощи в России проверка уровня доходов потенциальных реципиентов не осуществляется. Исключение составляет лишь введенная в 1997 г. в соответствии с постановлением Правительства РФ "Об упорядочении системы оплаты жилья и коммунальных услуг" программа жилищных компенсаций. Поэтому для нашей страны выделение детских пособий из блока общественной помощи может быть пересмотрено в случае введения для них проверки уровня доходов семей-реципиентов. Колебания в объемах социальных трансфертов в России из года в год весьма велики. При этом по общему их уровню в процентах к ВВП наша страна находится в середине между группой стран, объединяемых "европейской" философией социального обеспечения, и группой стран, которые более склонны к "американской" (индивидуалистической) философии. Для первой из названных групп (Франция, Германия, Швеция, Италия) социальные трансферты составляют в среднем 20.6 % ВВП, тогда как для второй (США, Канада, Япония) - в среднем 11.7% ВВП.[6] Промежуточное положение России по доле социальных трансфертов в ВВП между странами "европейской" и "американской" моделей социальной политики хорошо видно на рис. 1.

Рис. 1. Социальные трансферты в странах с развитой рыночной экономикой (1990 г.) и в России (1994-1995 гг.).
Рассчитано по: Аналитическая записка Министерства финансов РФ "Об исполнении федерального бюджета в 1995 году"; Проект федерального закона "Об исполнении федерального бюджета за 1994 год"; Справка Министерства финансов РФ "О расходах консолидированного бюджета на 1994 год"; Дмитриев М. Политика социальных расходов в современной России// Вопр. экономики. 1996. № 10. С. 50-51. Социальная сфера России : Статистический сб. М., 1996. С. 9; Confronting poverty... P. 81.
Обратившись к сравнительному анализу структуры социальных трансфертов, легко увидеть такую характерную для России особенность, как полное отсутствие денежной составляющей в блоке общественной помощи. Кроме того, сравнительно невелика доля социального страхования. Она составляет менее 50 % в общем объеме социальных трансфертов, тогда как в США - более двух третей, а в Германии - более 80 % .[7] Эта структура наглядно представлена на рис. 2.

Рис. 2. Структура социальных трансфертов в США (1990г.), Германии (1990 г.) и России (1994 г.). 1 - детские пособия; 2 - общественная помощь в натуральной форме; 3 - общественная помощь в денежной форме; 4 - социальное страхование.
Социальное страхование
Государственное социальное страхование предназначено для замещения доходов индивидов, утраченных в результате некоторого события, такого как безработица, заболевание или потеря трудоспособности в старости. Этот перечень функций характерен для большинства стране рыночной экономикой и иногда дополняется другими видами социального страхования. Нередко сюда относят и страхование от несчастного случая на производстве, но оно носит в большей степени отраслевой характер (из-за отраслевой природы риска), чем общегосударственный. В России страхование от риска утраты заработка в связи с кратковременной нетрудоспособностью, вызванной заболеванием, входит в социальное страхование.[8] В США данный вид риска вообще не покрывается через систему государственного страхования, а лишь на основе двусторонней договоренности между работодателем и наемным работником. В Германии государство также не страхует граждан от кратковременной нетрудоспособности, хотя если заболевание продолжается более 6 недель, то страховые выплаты производятся через систему медицинского страхования (больничные кассы) (рис. 3).

Рис. 3. Структура расходов на социальное страхование в США (1990 г.), Германии (1990 г.) и России (1994 г.). 1 - фонд социального страхования; 2 - страхование по безработице; 3 - медицинское страхование; 4 - пенсионное страхование. Рассчитано по: Справка Министерства финансов РФ "О расходах консолидированного бюджета на 1994 год"; Confronting poverty... P. 81; http: / www.bma.de (web-site Министерства труда и социальных дел Германии).
При оценке результатов сравнения следует иметь в виду особенности систем медицинского страхования в рассматриваемых странах. В России государственное медицинское страхование является всеобщим и обязательным, тогда как в Германии ими охвачено примерно 90 % населения, а в США право на получение выплат по программе "Медикэр" имеют лишь граждане старше 65 лет.
Кроме того, для целей сравнительного анализа вполне допустимо рассматривать расходы российских фондов обязательного медицинского и социального страхования как две составные части одного функционального целого - страхования по болезни.
Чтобы обеспечить полноту сравнения, необходимо рассмотреть и источники финансирования программ социального страхования.
Во всех трех странах установлены специальные, так называемые маркированные налоги, базой для которых служит начисленная заработная плата.
При этом маркированные налоги в России имеют две характерные особенности.
1. Пропорциональность. Государственное социальное страхование в большинстве стран мира ориентируется на средний и низший общественные классы. Считается, что не следует создавать искусственных препятствий гражданам с высокими доходами для пользования услугами частных страховых компаний. Поэтому маркированные налоги не взимаются с заработков, превышающих установленную величину. В результате маркированные налоги становятся регрессивными. В России не практикуется установление верхнего предела налогооблагаемого заработка. В результате создаются стимулы к сокрытию доходов и искусственно ограничивается спрос на страховые полисы, предоставляемые частными компаниями. Однако есть и положительная сторона: маркированный налог становится пропорциональным, а не регрессивным, что, как известно, лучше отвечает целям перераспределения.
2. Уплата налога работодателем. Как правило, в мировой практике применяется принцип равной ответственности работника и работодателя за уплату маркированных налогов.
Однако этот факт носит чисто символический характер. Учитывая возможности перемещения налогового бремени, становится ясно, что формальное установление процентных долей уплаты налога не влияет на то, кто уплачивает налог фактически. В зависимости от соотношения спроса и предложения на рабочую силу налог может быть полностью перемещен как на работодателя, так и на работника. В России маркированные налоги полностью уплачиваются работодателем. Исключение составляет налог в Пенсионный фонд, причем из суммарной ставки, равной 29 %, лишь 1 % уплачивается работником (табл. 3).
Таблица 3. Ставки маркированных налогов в России (%)
| Год | |||||
| 1993 | 1994 | 1995 | 1996 | 1997 | |
| Пенсионный фонд* | 29 | 29 | 29 | 29 | 29 |
| Фонд социального страхования | 5.4 | 5.4 | 5.4 | 5.4 | 5.4 |
| Фонд обязательного медицинского страхования | 3.6 | 3.6 | 3.6 | 3.6 | 3.6 |
| Фонд занятости населения | 2 | 2 | 2 | 1.5 | 1.5 |
*28 % уплачивается работодателем, 1 % - работником.
В Германии величина максимального месячного налогооблагаемого заработка одинакова для систем пенсионного страхования и страхования по безработице. Для всех трех видов социального страхования используется принцип равной ответственности за уплату налога (табл. 4).
Таблица 4. Ставки маркированных налогов и максимальный месячный налогооблагаемый заработок в Германии*
| Год | |||||||
| 1970 | 1980 | 1990 | 1992 | 1994 | 1995 | ||
| Пенсионная система | Максимальный заработок, марок | 1800 | 4200 | 6300 | 6800 | 7600 | 7800 |
| Ставка налога, % | 17.0 | 18.0 | 18.7 | 17.7 | 19.2 | 18.6 | |
| Страхование по безработице | Ставка налога, % | 1.3 | 3.0 | 4.3 | 6.3 | 6.5 | 6.5 |
| Медицинское страхование | Максимальный заработок, марок | 1200 | 3150 | 4725 | 5100 | 5700 | 5850 |
| Ставка налога, % | 8.2 | 11.4 | 12.6 | 12.8 | 13.2 | 13.2 |
*Источник: http:/www.bma.de (web-site Министерство труда и социальных дел Германии).
В США величина максимального месячного налогооблагаемого заработка одинакова для систем пенсионного страхования и "Медикэра". Для страхования по безработице она же учитывается в двойном размере. При этом в последней страховой программе (в отличие от первых двух) маркированный налог полностью уплачивается работодателем (табл. 5).
Таблица 5. Ставки маркированного налога, уплачиваемого в пенсионную систему, и максимальный месячный налогооблагаемый заработок в США*
| Год | ||||||
| 1970 | 1980 | 1990 | 1992 | 1994 | 1995 | |
| Максимальный заработок, дол. | 650 | 2475 | 4275 | 4625 | 5050 | 5100 |
| Ставка налога, % | 8.40 | 10.16 | 12.40 | 12.40 | 12.40 | 12.40 |
*Источник: Statistical Abstract of the United States, 1997. P. 337.
Ставка налога, уплачиваемого на медицинское страхование пожилых людей ("Медикэр"), все эти годы оставалась на уровне 2.9%. Для системы страхования по безработице в США не существует единой ставки. Она состоит из двух частей: федеральной и части штата. Федеральная ставка составляет 0.5 %, а для штатов существует рекомендательная, равная 2.7 % .9 Диапазон фактических ставок налога в разных штатах от 0.3 до 3.7 %. Средняя суммарная ставка налога (федеральная доля плюс доля штата) составила 2.9 % в 1995 г.[10]
Общественная помощь
Помощь бедным не связана с необходимостью корректировки провалов рынка и повышения экономической эффективности. В ее основе лежат исключительно соображения этики и морали. Большинство людей считает несправедливым такое распределение доходов, при котором "богатые имеют возможность кормить своих домашних животных лучше, чем бедные - своих детей".[11] Их воля, реализуемая через политический механизм, воплощается в создании программ материальной поддержки беднейших слоев населения.
В России программы общественной помощи имеют следующие особенности.
1. Доминирование натуральных трансфертов. В системе общественной помощи отсутствуют денежные трансферты. Натуральные трансферты имеют как отрицательные, так и положительные стороны. Главный недостаток заключается в потере эффективности из-за того, что оценка натуральных трансфертов получателем ниже, чем их фактическая денежная стоимость. Потребителю как бы навязывается определенное благо, он лишается свободы выбора между различными благами, которую он имеет при денежном трансферте.
Положительной стороной натуральной формы оказания помощи обычно считается связанное с ней ослабление остроты проблемы маскировки. Действительно, богатые и среднеобеспеченные граждане вряд ли будут искажать информацию о своем благосостоянии только для того, чтобы получить натуральную помощь, хотя если трансферт будет денежным, то это более вероятно. Однако последнее, например, не всегда относится к трансфертам в форме бюджетной поддержки расходов на жилищно-коммунальное хозяйство, которые, как видно из табл. 6, играют ведущую роль в системе общественной помощи в России.
2. Категориальность. Многие страны используют признак принадлежности граждан к той или иной категории в системе социальных трансфертов. Однако он является лишь вспомогательным инструментом при решении вопроса о целесообразности оказания помощи. Основным инструментом всегда служит проверка реальной нуждаемости потенциального реципиента.
Таблица 6. Расходы на программы общественной помощи в России (% от ВВП)*
| 1994 г | 1995 г. | |
| Жилищно-коммунальное хозяйство | 4.75 | 3.66 |
| Общественный транспорт | 0.57 | 0.75 |
| Здравоохранение | 2.60 | 2.02 |
| Всего | 7.92 | 6.43 |
Рассчитано по: Дмитриев М. Политика социальных расходов в современной России // Вопр. ни. 1996. № 10. С. 50-51; Социальная сфера России : Статистический сб. М., 1996. С. 9.
Страны с развитой рыночной экономикой в отличие от России строго придерживаются принципа проверки уровня доходов при предоставлении гражданам общественной помощи. В Германии доминируют ;ные трансферты и для программы социальной помощи используется принцип индивидуального подхода к каждому потенциальному реципиенту (табл. 7). В США преобладают натуральные трансферты, а правила предоставления помощи более детально проработаны и базируются на строго формализованных критериях (табл. 8).
Таблица 7. Ассигнования на программы помощи бедным в Германии (млрд марок)
| Год | ||||
| 1980 | 1985 | 1990 | 1992 | |
| Денежные трансферты | ||||
| Обеспечение средств к существованию | 3.67 | 7.12 | 11.83 | 13.86 |
| Помощь в особых жизненных обстоятельствах (старость, инвалидность, болезнь) | 8.93 | 12.80 | 18.81 | 26.88 |
| Образовательные субсидии | ... | ... | 0.80 | ... |
| Поддержка безработных | 1.90 | 9.13 | 7.59 | 9.11 |
| Всего | 14.50* | 29.05* | 39.03 | 49.85* |
| Натуральные трансферты | ||||
| Жилищные субсидии | 10.40 | ... | 12.00 | ... |
| Итого | 29.90* | 29.05** | 51.03 | 49.85** |
| В % к ВВП | 1.69* | 1.59** | 2.10 | 1.62** |
*Без учета образовательных субсидий.
**Без учета образовательных и жилищных субсидий.
Источник : http:/www.bma.de (web-site Министерства труда и социальных дел в Германии).
Таблица 8. Ассигнования на программы помощи бедным в США, 1990 г. (млрд дол.)*
| Год | ||||
| 1980 | 1985 | 1990 | 1992 | |
| Денежные трансферты | ||||
| Помощь семьям с детьми-иждивенцами | 21.8 | 20.6 | 21.2 | 22.9 |
| Дополнительный гарантированный доход | 13.17 | 14.4 | 16.2 | 22.8 |
| Льгота по подоходному налогу | 3.2 | 2.6 | 6.9 | 9.9 |
| Прочие денежные трансферты | 9.1 | 9.1 | 8.5 | 8.0 |
| Всего | 47.9 | 46.6 | 52.8 | 63.6 |
| Натуральные трансферты | ||||
| "Медикэйд" | 41.8 | 50.3 | 72.5 | 96.9 |
| Другая медицинская помощь | 8.5 | 7.6 | 11.1 | 11.8 |
| Продуктовые талоны | 15.4 | 16.5 | 17.1 | 23.7 |
| Другая продовольственная помощь | 7.1 | 6.6 | 7.4 | 8.3 |
| Жилищные субсидии | 11.5 | 16.4 | 14.5 | 14.1 |
| Занятость и профподготовка | 31.6 | 21.6 | 21.3 | 21.2 |
| Дополнительное образование | 1.5 | 1.6 | 1.9 | 2.6 |
| Всего | 117.4 | 120.6 | 145.8 | 178.6 |
| Итого | 165.3 | 167.2 | 198.6 | 242.2 |
| В % к ВНП | 3.83 | 3.44 | 3.63 | 4.44 |
*Источник: Confronting poverty... P. 57.
При изучении источников финансирования программ общественной помощи нельзя оставить без внимания вопрос бюджетного федерализма. В какой-то мере степень перераспределения дохода должна быть решением регионального или национального уровня.
Экономическая теория общественного сектора указывает на то, что программы общественной помощи являются общенациональной, а не региональной проблемой. В условиях относительно свободной миграции внутри страны региональные программы общественной помощи могут иметь негативные последствия. Любой регион, который решает обеспечить сравнительно более высокий уровень жизни для бедных, рискует столкнуться с притоком бедных из других регионов. В результате каждый регион имеет стимулы сделать себя непривлекательным для бедных, чтобы те перемещались в другие регионы.[12]
На практике в России 95.4 % расходов на общественную помощь осуществляется из бюджетов субъектов федерации (1994).[13] Только здравоохранение в незначительной мере финансируется из федерального бюджета, а жилищно-коммунальные и транспортные субсидии - полностью из региональных. Однако в отличие от США мобильность населения в современной России (если не считать вынужденных переселенцев) крайне низка.
В Германии такая же величина составляет 12.3 %, т. е. доля федерального бюджета 87.7 %. Здесь социальная помощь и поддержка безработных идут полностью за счет федерации, жилищные субсидии в соотношении 50 % на 50 %, а образовательные субсидии на 65 % за счет федерации.[14]
Американские программы общественной помощи отличаются многочисленностью и разнообразием. Крупнейшая из них ("Медикэйд") на 57.2 % финансируется из федерального бюджета; помощь семьям с детьми-иждивенцами - на 54.6 %; продуктовые талоны - на 93.4 %; дополнительный доход для стариков и инвалидов - на 86.2 %. Доля федерального бюджета (по фактическому финансированию в 1994 г.) составила 70.1 %, а бюджетов штатов соответственно 29.9 %.[15]
Участие федерального бюджета в финансировании общественной помощи в США и Германии осуществляется с помощью категориальных долевых грантов (целевых трансфертов). Это дает федеральному правительству рычаги воздействия на распределение дохода в стране в целом. Представляется, что аналогичные схемы могут быть применимы в будущем и в Российской Федерации.
[6] Рассчитано по: Confronting poverty : prescriptions for change / Ed. by S. H. Danziger. New York; London, 1996. P. 81.
[7] Рассчитано по: Confronting poverty... P. 81; http:/www.bma.de (web-site Министерства труда и социальных дел Германии).
[8] В России фонд социального страхования возмещает утрату заработка по болезни, а также расходы на санаторно-курортное лечение.
[9] Rosen H. S. Public finance. Homewood (111.), 1988. P. 216.
[10] Statistical Abstract of the United States, 1997. P. 382.
[11] Economics for policymaking : (Selected essays of A. M. Okun). Cambridge, 1983. P. 599.
[12] Стиглиц Дж.Ю. Экономика государственного сектора. М., 1997. С. 599.
[13] Рассчитано по: Аналитическая записка Министерства финансов РФ "Об исполнении федерального бюджета в 1995 году"; Проект федерального закона "Об исполнении федерального бюджета за 1994 год"; Справка Министерства финансов РФ "О расходах консолидированного бюджета на 1994 год".
[14] Источник: http:/www.bma.de (web-site Министерства труда и социальных дел Германии).
[15] Statistical Abstract of the United States, 1997. P. 376.
ЗАДАЧИ
1. Национальный доход в некоторой стране составляет 12 ед., которые могут быть разделены между индивидами А, В и С в следующих пропорциях:
| У* | У | Т | |
| Состояние1 | 2 | 2 | 8 |
| Состояние2 | 1 | 3 | Люди также интересуются этой лекцией: 10 Методы выявления уязвимости HAZOP. 8 |
| Состояние3 | 1 | 5 | 6 |
Сравните все эти три состояния: какое из них означает наибольшее равенство и какое наименьшее (при необходимости используйте индекс Аткинсона при значениях е, равных 1/2 и 2, а также коэффициент Джини). Сделайте соответствующие выводы.


(1)
(3)
(4)
(5) 

















