Олигополия курно
Олигополия Курно — экономическая модель рыночной конкуренции. Названа в честь сформулировавшего ее французского экономиста А.Курно (1801-1877).
Основные положения модели:
- На рынке действует фиксированное число N > 1 фирм, выпускающих экономическое благо одного наименования;
- Вход на рынок новых фирм и выход из него отсутствуют;
- Фирмы обладают рыночной властью. Замечание: сам Курно не знал, что такое рыночная власть. Этот термин появился позднее;
- Фирмы конкурируют, одновременно выбирая объемы выпуска;
- Фирмы максимизируют свою прибыль и действуют без кооперации. Последнее замечание просто повторяет предыдущий пункт.
Общее количество фирм на рынке N предполагается известным всем участникам. Каждая фирма, принимая свое решение, считает выпуск остальных фирм заданным параметром (константой). Функции издержек фирм ci(qi) могут быть различны и также предполагаются известными всем участникам.
Функция спроса представляет собой убывающую функцию от цены блага. Цена блага задана как цена равновесия отраслевого рынка (величина отраслевого предложения равна величине спроса на данное экономическое благо при одной и той же цене). --Andrew A. Zimin 09:03, 5 декабря 2009 (UTC)
Рассмотрим модель с двумя фирмами (дуополию). Для определения равновесной цены вычислим наилучшие ответы каждой из фирм.
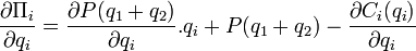
Прибыль i-й фирмы имеет вид:
Πi = P(q1 + q2).qi − Ci(qi).
Ее наилучшим ответом является объем выпуска qi, максимизирующий прибыль Πi при заданном объеме выпуска другой фирмы
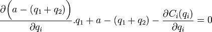
. Производная Πi по переменной qi имеет вид:

Рекомендуемые материалы
Приравнивая ее к нулю, получим:

Значения qi, удовлетворяющие данному условию, являются наилучшими ответами фирмы i. Равновесие в данной модели достигается, если q1 является наилучшим ответом на q2, а q2 - наилучшим ответом на q1.
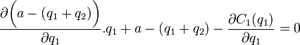
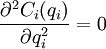
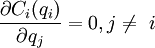
Пусть обратная функция спроса имеет вид: P(q1 + q2) = a − (q1 + q2), а издержки фирмы i Ci(qi) таковы, что
,
. Тогда прибыль фирмы i составит:

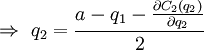
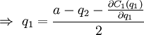
Решение задачи максимизации имеет вид:

Таким образом, задача фирмы 1:



Из симметрии рассматриваемой системы:
Люди также интересуются этой лекцией: 17 Аналитическая философия.

Полученные выражения представляют собой функции наилучших ответов. В равновесии Нэша обе фирмы будут придерживаться стратегий, являющихся решениями пары этих уравнений. Подставляя q2 в наилучший ответ фирмы 1, получим:



Равновесием Нэша в этой системе являются объемы выпуска (q1 * ,q2 * ), а равновесная рыночная цена будет представлять собой величину P(q1 + q2) = a − (q1 + q2).






















