Применение сенсоров на основе полевых транзисторов
2.7 Применение сенсоров на основе полевых транзисторов
Для того чтобы из полевого транзистора с изолированным затвором
(ИЗПТ) сделать сенсор, вместо металла в затворе транзистора по-
мещают чувствительный слой или ионоселективную мембрану, кото-
рые находятся в контакте в испытуемым раствором. При этом в об-
ласть затвора с помощью пары вспомогательных электродов подает-
ся напряжение VG, называемое также затворным напряжением.
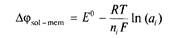
В случае ИСПТ на отклик влияет потенциал границы раздела мембра-
на—раствор, который определяется активностью иона в
растворе ai и его зарядом п;.

При этом выражение для ионоселективного отклика ИСПТна изме-
нение активности иона а{.

где:
— емкость диэлектрика;
W— ширина инверсионного канала;
L — длина канала;
Рекомендуемые материалы
µn — подвижность электронов.
Полевые транзисторы могут работать в двух режимах. В одном случае измеряют ток I0 при постоянном затворном напряжении VG, в
другом — затворное напряжение VG при постоянном токе I0. Измерительные схемы для обоих режимов работы приведеныранее.
2.7.1. Химически чувствительные полевые транзисторы (ХЧПТ)
Сенсор на основе полевого транзистора проще всего получить, помес-
тив в область затвора нанесенный на кремниевый чип слой палладия,
покрытый пленкой оксида металла толщиной 100 нм. Такой затвор с
высокой специфичностью реагирует на водород (предел обнаруже-
ния — 10 ч. н. млрд). Этот же сенсор, хотя и с меньшей чувствительнос-
тью, реагирует на СО, NH3, H2S, СН4 и С4Н|0.
При добавлении в затвор слоя иридия чувствительность по отноше-
нию к аммиаку возрастает, а по отношению к водороду — падает.
2.7.2 Ионоселективные полевые транзисторы
В самом первом ионоселективном полевом транзисторе (ИСПТ) для
измерения рН в качестве ионочувствительного слоя выступал прост
«голый» изолированнный затвор из диоксида кремния. Подобный
ИСПТ был малоэффективен из-за склонности SiO2 к гидроксилированию. Более эффективны рН-чувствительные ИСПТ с завтором из нитрида кремния (Si3N4), отклик которого увеличивается на 50—60 мВ
при уменьшении рН на единицу. Сходными характеристиками обла
дают ИСПТ на основе оксида титана (TiO2) и германия (Ge). Такие
ИСПТ, как и чипы полевых транзисторов, изготавливают с примене-
нием микроэлектронных технологий. Для придания полевым транзисторам селективности по отношению к другим ионам область затвора тем или иным способом модифицируют. Например, Na+-селектии
ный ИСПТ изготавливают путем нанесения в область затворл
боросиликатного стекла. Для получения К+-селективных ИСПТ в об
ласть затвора помещают полимерные мембраны, содержащие валино
мицин или краун-эфир, а селективность по отношению к Са2+ придл
ют с помощью п-(1,1,3,3-тетраметилбутил)фенилфосфорной кисло
ты. Отклик ИСПТ в случае тонких мембран (толщиной не более
100 мкм) составляет < 40 мВ на десятикратное изменение концентрл
ции определяемого иона.
Разработан четырехзатворный ИСПТ для определения ионов Н+,
Na+, К+ и Са2+. Селективность определения ионов Н+ достигается за
счет использования затвора из Si3N4, Na+ — покрытия из боросиликат-
иого стекла, К+ — мембраны с включенным в нее валиномицином, а
Са2+ — мембраны с ионофорным производным фосфорной кислоты.
Такой ИСПТ удовлетворительно функционировал в буферных раство-
рах, однако в цельной крови он давал систематическую ошибку при
определении ионов Na+.
Для придания селективности полевым транзисторам используют
также гетерогенные мембраны, примером которых может служить полифторированный фосфазин (ПФФ) в смеси с солями серебра. Чаще
всего применяют смесь, состоящую из ПФФ и хлорида серебра в отно-
шении 1:3. Соответствующий ИСПТ дает почти нернстовский наклон
напряжения в зависимости от концентрации хлорид-ионов (52 мВ).
Изменение состава смеси и включение в нее таких солей, как Ag2S или
Agl, позволяет создавать ИСПТ, селективные по отношению к другим
ионам.
2.7.3 Ферментные полевые транзисторы (ФПТ)
Полевые транзисторы с ферментом, помещенным в область затвора, представляют собой миниатюрные биосенсоры. Обычно используют двухзатворную конструкцию наподобие изображенной на рисунке 2.27.

Рис. 2.27. Схема двухзатворного фермент-содержащего полевого транзистора. В качестве детекторов СО и этанола используются металлоксидные полупроводники.
1 — кремниевая подложка;
2—диэлектрик;
3 — аналит-чувствительная мембрана;
4 —сток;
Рекомендуем посмотреть лекцию "Оборотные средства и эффективности их использования".
5 — исток;
6 — изолирующая заливка;
7 — раствор аналита;
8 — электрод сравнения
Чаще всего применяют рН-чувствительные транзисторы, в область
затвора которых могут быть помещены такие ферменты, как пенициллиназа, глюкозооксидаза или уреаза. На основе трехзатворного полевого транзистора, один из затворов которого используется для сравнения,
а в двух других размещены глюкозооксидаза и уреаза, изготовлен био-
сспсор для одновременного определения глюкозы и мочевины.
Предложен водород-чувствительный полевой транзистор на
основе легированного Pd оксида металла, в котором используются
мланиндегидрогеназа и система NAD+—NADH. Очевидно, систему
N AD+-NADH можно использовать и для разработки других биосенсоров на основе полевых транзисторов.






















