Топливная экономичность
Лекция 10. Топливная экономичность
План лекции
10.1. Измерители топливной экономичности
10.2. Уравнение расхода топлива
10.3. Топливно-экономическая характеристика автомобиля
10.4. Построение топливно-экономической характеристики
10.5. Топливная экономичность автопоезда
10.6. Нормы расхода топлива
Топливная экономичность автомобиля имеет важное значение в эксплуатации, так как топливо — один из основных эксплуатационных материалов, потребляемый автомобилем в большом количестве. Себестоимость перевозок существенно зависит от топливной экономичности автомобиля, поскольку затраты на топливо составляют примерно 10... 15 % всех затрат на перевозки. Поэтому чем выше топливная экономичность автомобиля, тем меньше расход топлива и ниже себестоимость перевозок.
10.1. Измерители топливной экономичности
Рекомендуемые материалы
Топливная экономичность автомобиля оценивается двумя группами измерителей. К первой группе относятся измерители топливной экономичности самого автомобиля, ко второй — измерители топливной экономичности двигателя автомобиля.
Измерителями первой группы являются расход топлива в литрах на единицу пробега автомобиля (путевой расход топлива) qП, л на 100 км, и расход топлива в граммах на единицу транспортной работы qР, г/(т-км) или пасс.-км.
К измерителям второй группы относятся расход топлива в килограммах за час работы двигателя (часовой расход топлива) GT, кг/ч, и удельный эффективный расход топлива в граммах на киловатт-час qe, г/(кВт-ч).
Рассмотрим указанные измерители топливной экономичности.
Путевой расход топлива
qn = 100f*Q/Sa
где Q — общий расход топлива, л; Sa — пробег автомобиля, км.
В указанном выражении единицей пробега являются 100 км пути (принято для автомобилей в России и многих европейских странах).
Путевой расход топлива — легко определяемая величина, но не учитывающая полезной работы автомобиля. Так, например, автомобиль, который перевозит груз, расходует больше топлива, чем автомобиль без груза. Поэтому согласно формуле он оказывается менее экономичным по сравнению с автомобилем, совершающим порожний рейс.
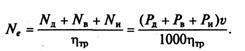
Расход топлива на единицу транспортной работы

где mГР — масса перевезенного груза (число пассажиров), кг (пасс); SГР — пробег автомобиля с грузом, км;
Т — плотность топлива, кг/л.
Расход топлива на единицу транспортной работы более правильно оценивает топливную экономичность автомобиля. Однако практическое использование этой величины сопряжено с определенными трудностями вследствие того, что объем транспортной работы, выполненной автомобилем, не всегда поддается точному измерению.
Часовой расход топлива
где Тд — время работы двигателя, ч.
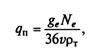
Удельный эффективный расход топлива

где Ne — эффективная мощность двигателя, кВт. -
С учетом удельного эффективного расхода топлива определим его путевой расход:

где величина ge выражена в г/(кВт-ч), Ne — в кВт, a v — в м/с.
10.2. Уравнение расхода топлива
В процессе движения автомобиля эффективная мощность двигателя затрачивается на преодоление сил сопротивления движению. Для ее определения воспользуемся уравнением мощностного баланса автомобиля:

Подставив найденную величину Ne в выражение для путевого расхода топлива, получим уравнение расхода топлива автомобилем
,
Или

В этих выражениях мощность представлена в кВт, сила — в Н, а скорость — в м/с.
Из уравнения расхода топлива следует, что путевой расход топлива зависит от топливной экономичности двигателя (ge), технического состояния шасси (
), дорожных условий (РД), скорости движения и обтекаемости кузова (
), нагрузки и режима движения (РИ).
При использовании уравнения расхода топлива для определения путевого расхода топлива в различных дорожных условиях должна быть известна зависимость удельного эффективного расхода топлива от степени использования мощности двигателя при разных значениях угловой скорости коленчатого вала. Такая зависимость для бензинового двигателя приведена на рис. 10.1.
Из этого рисунка следует, что удельный эффективный расход топлива ge существенно зависит от степени использования мощности двигателя И и в меньшей степени — от угловой скорости коленчатого вала ωе. При увеличении степени использования мощности двигателя и снижении угловой скорости коленчатого вала ge уменьшается. Возрастание удельного эффективного расхода топлива при низкой степени использования мощности двигателя вызвано уменьшением механического коэффициента полезного действия двигателя и ухудшением условий для сгорания смеси в цилиндрах. Удельный эффективный расход топлива также несколько возрастает при высокой (близкой к полной) степени использования мощности из-за обогащения горючей смеси.

Рис. 10.1. Зависимости удельного эффективного расхода топлива ge от степени использования И мощности двигателя при разных значениях угловой скорости коленчатого вала ωе:
ωе1- ωе3 значения угловой скорости коленчатого вала двигателя
10.3. Топливно-экономическая характеристика автомобиля
Топливно-экономической характеристикой автомобиля называется зависимость путевого расхода топлива от скорости при равномерном движении автомобиля по дорогам с разным сопротивлением.
Топливно-экономическая характеристика позволяет определять расход топлива по известным значениям скорости движения и коэффициента сопротивления дороги. Она может быть построена для любой передачи, однако обычно ее строят для высшей передачи.
На рис. 10.2 представлена топливно-экономическая характеристика автомобиля для трех различных дорог с разными коэффициентами сопротивления, причем ψ1, < ψ2 < ψ3.
Каждая кривая топливно-экономической характеристики имеет три характерные точки — a, b и с.
Точка а соответствует минимальной устойчивой скорости движения автомобиля.
Точка b (точка минимума) определяет наименьший расход топлива qmin при движении автомобиля по дороге с определенным коэффициентом сопротивления ψ. Скорость, соответствующая этой точке, является оптимальной для данной дороги с точки зрения топливной экономичности.
Точка (с) характеризует расход топлива при его полной подаче, т. е. при полной нагрузке двигателя. Она соответствует максимально возможной скорости движения на данной дороге. Кривая, проведенная через точки с1 с2 и с3, отвечает расходу топлива при полной нагрузке двигателя.
Из рис. 10.2 видно, что каждому значению сопротивления дороги соответствуют определенный минимальный расход топлива, оптимальная и максимально возможная скорости движения автомобиля. При возрастании сопротивления дороги увеличивается расход топлива, а эти скорости уменьшаются.

Рис. 10.2. Топливно-экономическая характеристика автомобиля:
ψ1—ψ3 — значения коэффициента сопротивления дороги, соответствующие трем кривым путевого расхода топлива; a1—a3 — точки, отвечающие минимальной устойчивой скорости движения vmin; b1—b2 — точки минимума кривых; с1 — с3 — точки, соответствующие максимальной скорости движения по каждой дороге; qmin, vЭКI, vmax1, — минимальный расход топлива, оптимальное и максимальное значения скорости движения по дороге, характеризуемой коэффициентом ψ.
Хотя движение автомобиля с оптимальной скоростью сопровождается наименьшим расходом топлива, из этого не следует, что при выполнении транспортной работы необходимо двигаться с указанной скоростью. При выборе скорости движения нужно исходить не из условий, обеспечивающих топливную экономичность, а из времени перевозок, безопасности движения, сохранности груза и комфортабельности пассажиров. Так, например, увеличение скорости движения приводит к повышению производительности автомобиля и уменьшению себестоимости перевозок.
Представленная топливно-экономическая характеристика типична для автомобилей с бензиновыми двигателями. Аналогичный вид имеет и топливно-экономическая характеристика автомобилей с дизелями. Ее отличительной особенностью является менее крутой подъем кривых в области низких значений скорости движения, что можно объяснить более высокой экономичностью дизелей при малой угловой скорости коленчатого вала.
10.4. Построение топливно-экономической характеристики
Существует несколько способов построения топливно-экономической характеристики автомобиля:
• по результатам дорожных испытаний;
• по результатам стендовых испытаний;
• приближенный расчетный способ.
В первом и втором случаях топливно-экономическая характеристика строится на основании экспериментальных данных, тогда как при использовании третьего способа она может быть построена при отсутствии экспериментальных данных. Рассмотрим расчетный способ построения топливно-экономической характеристики автомобиля.
В соответствии с этим способом удельный эффективный расход топлива определяется по формуле

где gN— удельный эффективный расход топлива при максимальной мощности двигателя, г/(кВтч); kω — коэффициент изменения удельного эффективного расхода топлива в зависимости от угловой скорости коленчатого вала двигателя; kи — коэффициент изменения удельного эффективного расхода топлива в зависимости от степени использования мощности двигателя.
Удельный эффективный расход топлива при максимальной мощности для бензиновых двигателей составляет 300...340 г/(кВт-ч), а для дизелей — 220...260 г/(кВт-ч).
Коэффициент kω определяется в зависимости от отношения ωе / ωN, угловых скоростей коленчатого вала двигателя при текущем и максимальном значениях мощности.
Коэффициент kи определяется в зависимости от степени использования двигателя.
Коэффициенты kω и kи могут быть также найдены по специальным графикам, представленным на рис. 10.3.
Расчет и построение топливно-экономической характеристики выполняют в такой последовательности:
• задают коэффициент сопротивления дороги ψ;
• выбирают пять-шесть значений угловой скорости коленчатого вала двигателя ωе в диапазоне от ωmin до ωmax;
• для выбранных значений ωе определяют отношения ωе /( ωN (значение ωN известно) и по полученным отношениям находят значения kω;
• для выбранных значений ωе определяют соответствующие скорости движения автомобиля v и для этих скоростей по заданному коэффициенту сопротивления дороги ψ находят мощности, затрачиваемые на преодоление сопротивления дороги NД и воздуха NB;
• по внешней скоростной характеристике двигателя для выбранных значений ωе определяют эффективную мощность двигателя Ne или для соответствующих скоростей движения по графику мощностного баланса находят значения тяговой мощности NT на ведущих колесах;
• по известным значениям мощностей Na + NB и Ne (или NT) для каждого значения ωе (или v) определяют степень использования мощности двигателя И и по полученным значениям находят kи;
• по найденным значениям коэффициентов kω и kи определяют удельный эффективный расход топлива ge;
• по полученным значениям ge находят путевой расход топлива qn для дороги с заданным коэффициентом сопротивления ψ, для чего используют уравнение расхода топлива при равномерном движении автомобиля.

Рис. 10.3. Графики для определения коэффициентов kи (а) и kω (б):
1 — дизели; 2 — бензиновые двигатели
Повторив указанные выше расчеты для других коэффициентов сопротивления дороги ψ, строят топливно-экономическую характеристику автомобиля.
10.5. Топливная экономичность автопоезда
Работа грузового автомобиля в составе автопоезда сопряжена с повышенным расходом топлива на единицу пробега вследствие возрастания сил сопротивления движению. Однако увеличение расхода топлива непропорционально возрастанию указанных сил. Это связано с тем, что при буксировке прицепов и полуприцепов степень использования мощности двигателя автомобиля-тягача выше, нем при движении одиночного автомобиля, поэтому удельный эффективный расход топлива уменьшается. Кроме того, существенно снижается расход топлива на единицу выполненной транспортной работы или на единицу массы перевезенного груза, что снижает себестоимость перевозок.
На дорогах с асфальтобетонным покрытием, не имеющих крутых и затяжных подъемов, в случае использования прицепов экономия топлива при выполнении 1 т • км транспортной работы может достичь 15... 20 %.
Для выяснения причины повышения топливной экономичности автопоезда при использовании прицепов определим расход топлива на единицу транспортной работы:

где GГР — вес перевезенного груза, Н. Сила сопротивления дороги

где Gап — вес автопоезда с полной нагрузкой, Н; G0ап — вес автопоезда без груза, Н. Следовательно:
Учитывая, что скорость автопоезда относительно невелика, силой сопротивления воздуха можно пренебречь. Тогда расход топлива на единицу транспортной работы
Из последнего выражения следует, что расход топлива, существенно зависящий от отношения веса автопоезда к весу груза, снижается при уменьшении этого отношения.
Собственная масса прицепа значительно меньше массы автомобиля той же грузоподъемности. Поэтому при использовании прицепа масса перевозимого груза может увеличиться в два раза, а собственная масса автопоезда — лишь на 50...60%.
У седельного автопоезда расход топлива на единицу транспортной работы также меньше, чем у одиночного автомобиля, поскольку у автомобиля-тягача выше степень использования мощности двигателя и меньше удельный эффективный расход топлива. Кроме того, КПД трансмиссии седельного тягача выше, чем у бортового автомобиля, благодаря большей нагрузке, передаваемой трансмиссией.
10.6. Нормы расхода топлива
Расчетные формулы для определения путевого расхода топлива не учитывают ряда факторов, вызывающих его увеличение при эксплуатации автомобиля. Поэтому для определения действительного расхода топлива в процессе эксплуатации используется нормативный метод. В соответствии с ним расход топлива на автомобильном транспорте строго нормируется.
Общий расход топлива согласно нормам определяется по следующей формуле:

где КТ1 — норма расхода топлива на передвижение самого автомобиля, л на 100 км; КТ2 — норма расхода топлива на единицу транспортной работы, л на 100 т-км; КТз — норма дополнительного расхода топлива на каждую ездку; Sa — пробег автомобиля, км; SГР — пробег с грузом, км; mГР — масса перевезенного груза, т; Ze — число ездок.
Нормы расхода топлива КТ1, КТ2 и К КТ3 зависят от типа автомобиля и условий его работы.
Грузовые автомобили общего назначения (с бортовыми платформами) обычно совершают перевозки на большие расстояния, и число ездок на 100 км пробега у них невелико. Поэтому норму расхода топлива КТ3 у этих автомобилей включают в норму расхода топлива КТ2 Общий расход топлива по нормам для указанных автомобилей

Самосвалы обычно осуществляют перевозки на небольшие расстояния, загружены полностью и перевозят груз только в одном направлении. В связи с этим норму расхода топлива КТ2 у этих автомобилей включают в норму расхода топлива КТ1
Общий расход топлива согласно нормам для самосвалов

Для автопоездов общий расход топлива по нормам

В этом выражении Кап — норма расхода топлива на передвижение автопоезда, л на 100 км, зависящая от типа двигателя, устанавливаемого на тягаче автопоезда:
для автопоезда с бензиновым двигателем

для автопоезда с дизелем

где тпр — полная масса прицепа, т.
Для грузовых автомобилей общего назначения и автопоездов предусмотрены надбавки расхода топлива на каждые 100 т- км выполненной транспортной работы. Размер такой надбавки зависит от типа двигателя (бензиновый или дизель) автомобиля. Для самосвалов установлена надбавка на каждую ездку с грузом.
В зимнее время нормы расхода топлива для автомобилей увеличиваются.
10.7. Влияние различных факторов на топливную экономичность автомобиля
Топливная экономичность автомобиля зависит от его конструкции и технического состояния, квалификации водителя, дорожно-климатических условий эксплуатации и организации транспортного процесса.
Рассмотрим влияние различных конструктивных и эксплуатационных факторов на топливную экономичность автомобиля.
Тип двигателя. Автомобили с дизелями экономичнее, чем с бензиновыми двигателями: расход топлива у автомобилей с дизелями на 25... 30 % меньше.
Техническое состояние двигателя. Ухудшение технического состояния двигателя приводит к повышению расхода топлива. Неисправности в системах питания и зажигания двигателя также вызывают перерасход топлива. Так, например, неисправность карбюратора увеличивает расход топлива на 10... 15 %, неправильная регулировка холостого хода — на 15...20%, подгорание или замасливание свечей — на 7... 10 %, а наличие одной неработающей свечи зажигания — на 20...25 %.
Тепловой режим двигателя. При чрезмерном охлаждении двигателя топливная экономичность автомобиля снижается, так как часть топлива поступает в цилиндры не в газообразном состоянии и не сгорает при рабочем ходе. Так, при снижении температуры охлаждающей жидкости с 85 °С, при которой двигатель имеет наилучшие показатели по экономичности, до 65 °С путевой расход топлива увеличивается на 15...25 % (рис. 10.4).
Техническое состояние шасси. Ухудшение технического состояния шасси вызывает увеличение расхода топлива. Например, неправильная регулировка тормозных механизмов, главной передачи и затяжки подшипников ступиц колес приводит к перерасходу топлива на 10...20 %, нарушения в установке управляемых колес и пониженное давление воздуха в шинах — на 10... 15 % (рис. 10.5), неполное выключение или пробуксовка сцепления — на 5...6%. Указанный перерасход топлива происходит вследствие уменьшения коэффициента полезного действия трансмиссии и возрастания сопротивления движению автомобиля.

Рис. 10.4 Рис. 10.5
Рис. 10.4. Зависимости путевого расхода топлива от скорости движения автомобиля при различной температуре охлаждающей жидкости в системе охлаждения двигателя: 1-85°С; 2-75°С; 3-65 "С
Рис. 10.5. Изменение путевого расхода топлива в зависимости от скорости движения автомобиля при различном давлении воздуха в шинах:
1 - 0,3 МПа; 2- 0,2 МПа
Сопротивление дороги. При увеличении сопротивления дороги расход топлива возрастает. Так, например, при движении в тяжелых дорожных условиях используются низшие передачи. При этом передаточное число трансмиссии увеличивается, а степень использования мощности двигателя уменьшается. В результате расход топлива повышается.
Нагрузка на автомобиль. При увеличении нагрузки на автомобиль расход топлива возрастает.
Режим движения. При разгоне автомобиля увеличение скорости движения вызывает возрастание сил сопротивления движению и расхода топлива.
При торможении расход топлива повышается вследствие затрат энергии на торможение и последующий разгон.
При импульсивном движении по методу «разгон — накат» общий расход топлива может быть меньше или больше, чем при равномерном движении. Данный режим движения заключается в интенсивном разгоне на высшей передаче до определенной скорости и последующем движении накатом со снижением скорости до определенного значения. При этом цикл «разгон — накат» периодически повторяется. При разгоне расход топлива растет, а при накате уменьшается. Такой метод движения приводит к интенсивному износу двигателя и трансмиссии и усложняет работу водителя, так как он больше утомляется. Кроме того, при движении накатом двигатель работает на режиме холостого хода, что приводит к повышенному содержанию оксида углерода в отработавших газах.
Рекомендация для Вас - 4. Эффект первого впечатления.
Условия движения. При увеличении числа остановок расход топлива возрастает вследствие затрат энергии на торможение до полной остановки, трогание с места и последующий разгон. Квалификация водителя. При работе в одинаковых условиях (тип дороги, автомобиля и др.) У водителей различной квалификации разница в расходе топлива достигает 20 %.
Сорт топлива и масла. Использование бензина с малым октановым числом приводит к перерасходу топлива на 15... 20 %. При применении некачественного масла расход топлива увеличивается на 8 % из-за Интенсивного образования нагара в цилиндрах двигателя и Увеличения трения.

Рис. 10.6. Зависимости путевого расхода топлива от скорости движения автомобиля при использовании шин различных типов:
1 — широкопрофильных; 2 — тороидальных (обычных); 3 — арочных
Тип шин. Радиальные шины по сравнению с диагональными снижают расход топлива на 2...7%, так как имеют меньшее сопротивление качению. По сравнению с тороидальными шинами широкопрофильные шины уменьшают, а арочные увеличивают расход топлива во всем диапазоне эксплуатационных скоростей движения (рис. 10.6).





















