Характеристики ФАР
Характеристики ФАР
Расчет характеристик ФАР по сравнению с расчетом ранее рассмотренных антенн значительно усложняется, так как требуется определять эти характеристики в секторе сканирования, т. е. ряде положений луча в пространстве и рабочей полосе частот, а также учитывать возможные различия в фазовом распределении и размещении излучателей. Прямые численные методы суммирования полей элементов ФАР малопригодны для выявлений основных закономерностей. Поэтому в теории ФАР развиты приближенные, но достаточно точные методы анализа и расчета, позволяющие установить последовательно влияние дискретности размещения и управления, полосы частот и сектора сканирования на основные характеристики.
Сектор сканирования и число управляющих элементов ФАР
Пространственный сектор сканирования ФАР может быть задан предельным отклонением луча по азимуту
и месту
или телесным углом обзора
в стерадианах. Зная требуемую рабочую длину волны
, направленность действия (ширину луча
и
или КНД)
можно установить минимальное число управляющих
элементов N. Размер антенны L связан с шириной луча соотношением.
.
Ширина ДН элемента ФАР по нулевому уровню должна быть больше,
по крайней мере, на
т.е. - размер элемента
определяется как
.
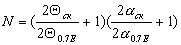
Приближенно число управляемых элементов
Рекомендуемые материалы
,
и при двухмерном сканировании
(1)
Известны и другие подходы к определению N, например, на основе КПД:
(2)
Практически число управляемых элементов в ФАР превышает найденное по формулам (1) и (2) и связано с допустимым УБЛ и изменением направленности в секторе сканирования. В плоской АР при движении луча изменяется его ширина, УБЛ и соответственно КНД, что ограничивает используемый на практике сектор сканирования до ± (45... 60)°. Для получения больших секторов сканирования возможно применение системы плоских решеток (рисунок) или выпуклой ФАР.

Необходимое число управляющих фазовращателей в плоской ФАР будет найдено из условия дискретизации излучающего раскрыва.
Полоса пропускания ФАР
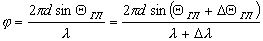
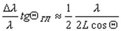
Рассмотрим частотные свойства, связанные с построением ФАР, в предположении, что элементная база (фазовращатель, излучатель, линия передачи и т. д.) не ограничивает полосу пропускания. В ФАР с параллельным питанием линиями равной электрической длины начальное фазовое распределение не зависит от частоты и может быть равномерным. Широкополосные (диапазонные) фазовращатели создают фазовые сдвиги, также независимые от частоты. При отклонении луча от нормали с плоской решеткой на угол Qгл, необходим фазовый сдвиг j между двумя произвольными излучателями, отстоящими друг от друга на d в плоскости сканирования, определяемый по формуле
.
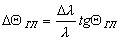
Изменение длины волны l, на величину Dl приведет к отклонению луча на угол
D QГЛ, определяемому из условия
.
Отсюда находится частотный ход луча
, (3)
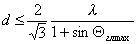
который не зависит от размера антенны и растет с отклонением луча Qгл. В результате этого изменяется направленность действия: растет УБЛ и падает КНД. Задавшись допустимым изменением характеристик, можно найти рабочую полосу. Если принять, что смещение луча не должно превышать половины его ширины, то
(4)
Если задаться допустимым падением КНД на 1 дБ в секторе ± 60°, то расчеты позволяют установить простую связь между рабочей полосой частот в процентах и шириной диаграммы направленности антенны в градусах:
(5)
В качестве критерия рабочей полосы может быть принято изменение уровня боковых лепестков. При определении полосы необходимо также учитывать характеристики сигналов (очень короткие импульсы, длинные импульсы с меняющейся частотой и т. д.). Переход к пространственному или последовательному возбуждению элементов АР мало изменяет полосу пропускания. Незначительная рабочая полоса и уменьшение ее с ростом направленности является существенным недостатком ФАР.
Известны два способа построения широкополосных ФАР. В первом случае фазовращатели в ФАР заменяют управляемыми линиями задержки: отрезками линий с волной типа Т, плавно (дискретно) изменяющими длину в пределах половины длины раскрыва антенны ("тромбонными" фазовращателями). В такой антенне разность хода лучей компенсируется длиной питающих линий. Такие устройства реализуются в КВ-диапазоне и мало пригодны на СВЧ.
Второй способ основан на использовании выпуклых ФАР. Как следует из соотношений (3) и (4), расширение полосы пропускания достигается уменьшением Qгл. В этих ФАР широкоугольное сканирование обеспечивается коммутацией излучающей части антенны, а формирование луча происходит в условиях, близких к излучению по нормали в плоских АР. В осесимметричных выпуклых ФАР удается не только ослабить или устранить частотный ход луча в широкой полосе частот, но и уменьшить частотное изменение ширины ДН. Однако конструкция таких антенн значительно усложняется по сравнению с конструкцией плоских антенн, так как кроме фазовращателей необходима система коммутаторов, управляющая излучающим сектором, и растет число управляемых элементов ФАР.
Дискретность фазирования и расположение излучателей. Управление фазовым распределением в ФАР возможно с помощью фазовращателей, дискретных или непрерывных с плавным изменением фазы. Применение тех или других фазовращателей приводит к появлению фазовых ошибок в раскрыве ФАР и ухудшению КНД, УБЛ и точности установки луча. В непрерывных фазовращателях эти ошибки вызваны различными дестабилизирующими факторами (старением, повышенной температурой, флуктуацией управляющих токов, напряжением и т. д.). Для борьбы с ними требуются специальные меры. Это является основным недостатком непрерывных фазовращателей.
Указанные недостатки в значительной степени устраняются применением дискретно-коммутационного способа сканирования. В этом способе фазирование осуществляется с помощью коммутаторов или дискретных фазовращателей, имеющих фиксированные значения фазы, устойчивых к различным дестабилизирующим факторам, что достигается применением в полупроводниках, ферритах и других управляемых средах соответствующих режимов работы, при которых используются устойчивые (крайние) участки их характеристик (насыщения, гистерезиса и т. д.). Управление лучом в этом случае сводится к простейшим операциям включения или выключения отдельных коммутаторов. Этот способ сканирования приводит к появлению коммутационных фазовых ошибок, равных половине дискрета изменения фазы в фазовращателе, т. е. D/2. Коммутационные фазовые ошибки вызывают снижение КНД, увеличение УБЛ и дискретность движения луча при сканировании. Аналогичное ухудшение направленности имеет место в ФАР с непрерывными фазовращателями в результате дискретности фазирования от сопряжения с системой управления лучом ЭВМ, тоже дискретной.
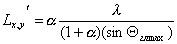
Влияние коммутационных ошибок на характеристики антенны зависит от начального фазового распределения в ФАР, положения точки начала отсчета фаз и числа излучателей. При начальном фазовом распределении
для направления луча
', при котором требуемый фазовый сдвиг между соседними излучателями кратен дискрету фазирования
,
где
- целое число, фазовые ошибки в ФАР и ухудшение характеристик отсутствуют. Для направлений луча
'' при которых имеет место
возникают максимальные фазовые ошибки, периодически по-вторяющиеся по раскрыву . В этом случае резко (зачастую недопустимо) возрастает один из боковых лепестков и значительно падает КНД. В теории коммутационных антенн была показана возможность уменьшения УБЛ путем размывания их в широком секторе углов при различных положениях луча. Это достигается в плоских АР квадратичным начальным фазовым распределением
. (6)
Здесь n, m - номера излучателей с прямоугольным размещением излучателей в решетке из N столбцов и Q втрок и с n = m = 0 в центре АР. Из-за наличия коммутационных фазовых ошибок КНД антенны уменьшается:
, (7)
где
- КНД эквивалентной антенны без коммутационных фазовых ошибок.
Уровень бокового излучения (по полю) обусловлен коммутационными фазовыми ошибками плоской АР с равномерным распределением поля
. (8)
Дискретность изменения фазы приводит к скачкообразному перемещению луча в пространстве и определяет точность установки луча. На точность влияет положение начала отсчета фазы (в центре или крайний излучатель). Среднее значение дискретного перемещения луча при расположении начала отсчета фазы в центре
. (9)
Разрядность фазовращателя, т. е. дискретность фазирования
, может быть установлена из условия максимума коэффициента усиления антенны
G = Dh,
где h – КПД антенны, включающий потери в фазовращателе.
Увеличение разрядности дискретного фазовращателя приводит к увеличению потерь, т. е. падениюh, но возрастанию КНД. В зависимости от рабочего диапазона частот, уровня технологии, требований к УБЛ, DQГЛ и т. д. могут использоваться фазовращатели с разрядностью от 2 до 5. Значение разрядности определяется в каждом конкретном случае.
Квантование амплитудного распределения в раскрыве связано с размещением излучателей в апертуре антенны. Квантование по амплитуде, как и по фазе, обусловливает нарушение непрерывности распределения поля, которое может носить периодический характер и вызывать возникновение дополнительного уровня боковых лепестков, аналогичных по структуре дифракционным лепесткам ДН. Исходным фактором дискретизации излучающего раскрыва является практически реализуемый шаг в решетке. Размеры поперечного сечения фазовращателя с элементами крепления и управляющими цепями в СВЧ-диапазоне оказываются такого же порядка, как допустимый шаг, определяемый из режима однолучевого сканирования в КВЧ и на более высоких частотах. Возможно увеличение в
раза шага в решетке с треугольной сеткой размещения излучателей, при которой условие имеет вид
(10)
Второй возможный путь увеличения шага излучателей - применение неэквидистантного размещения излучателей. В остронаправленной антенне допустимый шаг может быть также увеличен путем ограничения сектора сканирования
этом случае применяется направленный элемент АР с шириной ДН 2
в качестве которого может быть использована направленная антенна (апертурный излучатель) или группа синфазновозбужденных слабонаправленных элементов, называемая подрешеткой и управляемая одним фазовращателем.
Размеры
подрешеток выбираются в соответствии с заданным сектором сканирования и допустимым уровнем дифракционных максимумов высших порядков. Последнее можно пояснить следующим образом. При отклонении луча ФАР к краю сектора сканирования начинается возрастание уровня дальнего бокового лепестка, вызванное наличием в множителе решетки с большим шагом побочных главных лепестков и излучением за пределы сектора сканирования элемента АР .
Размеры подрешеток
' вдоль осей х, у соответственно можно определить из соотношения
(11)
где
- допустимый УБЛ дальнего бокового лепестка (дифракционного максимума высшего порядка). Зная
д или соответственно шаг излучателей и размеры раскрыва, можно найти число управляемых элементов плоской ФАР.
Для получения малых УБЛ необходимы, как известно, плавные, спадающие к краю раскрыва амплитудные распределения. Изменение амплитудного распределения в АР производится дискретно и зависит от шага размещения и формы апертуры излучателя . Дискретность обусловливает появление дополнительных боковых лепестков квантования, которые могут быть уменьшены треугольной сеткой расположения и частичным перекрытием апертур элементов.
Изменение характеристик направленности в секторе сканирования
В рабочем диапазоне частот и секторе сканирования происходят изменения ширины ДН , КНД и уровня боковых лепестков. В антеннах с круговой или управляемой поляризацией изменяется поляризационная характеристика. Наиболее важным для радиотехнической системы является коэффициент усиления (КУ) ФАP в секторе сканирования. КУ является интегральным параметром, учитывающим все изменения направленности и все тепловые потери в фазовращателях, излучателях и системе возбуждения. На стадии проектирования ФАР произвести точный расчет ожидаемого КУ в секторе сканирования и диапазоне частот оказывается затруднительно. Это связано с трудностями нахождения в фидерной системе возбуждения тепловых потерь и рассогласования, а при пространственном способе возбуждения - дополнительных потерь на рассеивание облучателем и коллекторной решеткой. Можно приближенно оценить изменение КУ в секторе сканирования из соотношения
. (12)
Здесь S - площадь изучающего раскрыва;
- апертурный коэффициент использования, учитывающий амплитудное распределение;
- ДН излучателя в решетке с учетом взаимодействия элементов;
- КПД ФАР, учитывающий все потери в излучателях, фазовращателях и системе возбуждения.
Диаграмма направленности излучателя в решетке
существенно отличается от идеальной ДН
наличием провалов в ДН для некоторых направлений и меньшим КПД для углов
. Эти обстоятельства приводят к значительному падению КУ при отклонении луча.
Провалы в ДН элемента (парциальной ДН) вызывают так называемое "ослепление" ФАР для определенных направлений луча. Это сопровождается резким возрастанием УБЛ. Ослепление ФАР недопустимо, поэтому для исключения этого явления проводится оптимизация парциальной ДН с помощью выбора типа излучателя, его размещения, диэлектрического заполнения или укрытия и т. д.
КПД ФАР существенно зависит от рабочего диапазона длин волн (УКВ, СВЧ, КВЧ и т. д.) и элементной базы. В СВЧ потери могут составлять в фазовращателях приблизительно 1...1,5 дБ; потери в системе возбуждения, включая формирователи суммарноразностных ДН антенны, такого же порядка. В результате КПД может составить 50...60%.
Лекция "8 Углеродистые и легированные стали" также может быть Вам полезна.
Для определения уровня достигнутых результатов при проектировании и изготовлении ФАР их характеристики направленности сравнивают с эквивалентной зеркальной антенной, которая является эталоном.
Характеристики управления и общетехнические характеристики
Темп обзора пространства, время установки луча в произвольную точку сектора сканирования, точность установки луча (или нуля разностной ДН моноимпульсной антенны) и потребляемая мощность управления лучом относятся к характеристикам управления ФАР. Эти характеристики в свою очередь зависят от параметров фазовращателей, выбранной схемы построения, принятых конструктивных решений и системы управления лучом. Между этими характеристиками имеется взаимосвязь. Так, например, быстродействие фазовращателя может быть увеличено за счет большей мощности управления. При движении луча требуемая скорость переключения фазовращателей зависит от начальной точки фазирования. При выборе ее в центре раскрыва скорость уменьшается в два раза по сравнению с начальной точкой фазирования на краю, точность установки луча тоже Сможет быть изменена выбором начальной точки фазирования или алгоритмом управления. Алгоритмы фазирования системы управления лучом зависят от размещения излучателей в решетае, схемы построения, конструктивных решений и т. д. Так; например, размещение излучателей в узлах прямоугольной сетки координат допускает строчностолбцовый способ управления лучом по двум угловым координатам. Неэквивалентное размещение излучателей приводит к поэлементному управлению фазовращателями, что может уменьшить быстродействие. Удаление от фазовращателей системы управления лучом влияет на ее характеристики. В полотне ФАР с плотным размещением элементов, не допускающем расположения между фазовращателями элементов системы управления, последняя удалена от ФАР и связана с ней системой линий передач управляющих команд. Это обстоятельство ухудшает рассматриваемые характеристики и усложняет ФАР. Отражательная решетка лишена этих недостатков, так как позволяет разместить систему управления на обратной стороне отражающего полотна. Отмеченные взаимосвязи, хотя и влияют на характеристики управления, но зависят от быстродействия фазовращателя, мощности управления и дискрета фазирования. Так, на стадии предварительного проектирования время установки луча находится как время переключения фазовращателей с учетом системы управления.
Основная часть мощности управления потребляется фазовращателями. Хотя мощность управления одним фазовращателем может быть от долей до единиц ватт, мощность, поступающая к полотну ФАР от системы управления, достигает киловатт. Эта мощность плюс мощность потерь СВЧ в ФАР определяют температурный режим. В передающих ФАР возникает необходимость системы теплоотвода. Изменение температуры полотна при работе влияет на характеристики ФАР.
Точность установки луча (нуля разностной ДН) может быть достаточно высокой при большом числе излучателей N, как это следует из (9). Точность определения угловых координат целей радиотехнической системой зависит от дальнейшей обработки сигнала.
ФАР, как и любая другая радиосистема, имеет следующие общетехнические характеристики: стоимость, габариты, массу, надежность, боевую живучесть, ремонтопригодность, условия эксплуатации, электромагнитную совместимость и т. д. Эти системные характеристики зависят как от антенны, так и от всей системы; технологии, производства, развития элементной базы и т. п. Однако можно выделить ряд параметров ФАР, наиболее влияющих на рассматриваемые характеристики. Так, стоимость ФАР в первую очередь определяется стоимостью фазовращателя с управляющим элементом и их числом в решетке. Массогабаритные характеристики зависят от используемой элементной базы, которая может состоять из волноводов, полосковых, микрополосковых линий, интегральных схем СВЧ и т. д. Схема построения (проходная, отражательная, с фидерным возбуждением и т. д.) и конструктивное исполнение отдельных элементов и всей системы определяют надежность, ремонтопригодность, живучесть и т. д. Излучатели с фазовращателями или их группа могут быть выполнены в виде отдельных устройств - модулей (или печатных плат). Такое модульное исполнение имеет ряд преимуществ, например простоту замены вышедшего из строя элемента.





















