Теория подобия процессов переноса
Лекция 16
Теория подобия процессов переноса.
=-
; С ростом температуры плотность уменьшается.
=-
; С ростом
плотность уменьшается (
- концентрация компонента меньшей плотности).
dρ=
dt+
=
+
△t+
△
=
-
*△t-
△
=P+ρgz – приведенное давление

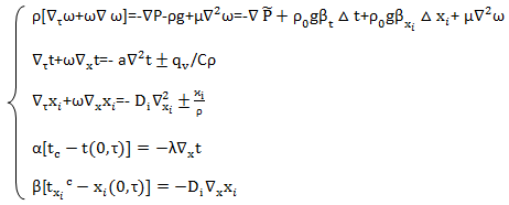
Система уравнений переноса количества движения, тепла и вещества с граничными условиями 3 рода.
Введем безразмерные параметры:
Рекомендуемые материалы
=
;
=
;
=
;θ=
φ=
; Re=
; Pe=
;
=
Pr=
;
=
; Le=
=
- критерий Льюиса.
=
;
=
;
Gr=
;
=
;
=
;
=
=
; Nu=
ω
=-∇
+
θ+
φ+
+Pe
=-
+
=-
D
Nu[
)]=-∇
[
)]=-∇
Nu,
=f(Fo,
,Re,Pr,
,Gr,
Po,
) в случае независимого переноса тепла и вещества имеем:
Nu= f(Fo, Re, Pr,
Gr,
Po
) ;
= f(
,Re,
,
)
Аналогия между переносом тепла и массы (аналогия Льюиса)
Для стационарного конвективного переноса тепла и вещества имеем критериальные зависимости:
=
=C
;
=
= C
. Поделим выражения друг на друга:
=
=
=
=>
=
=
=
.
Следовательно, зная α, можно рассчитать β и наоборот.
Основное уравнение гидродинамики (Навье-Стокса) для многокомпонентной среды.
В многокомпонентной среде возникает дополнительное изменение количества движения, связанное с диффундирующими потоками массы и источниками (стоками) за счет химического превращения:
[
=
+
dV-
+
(
-
(
)]dV
Σ
=0;
=-
и (
+
)(
-
)=0
Σ
=0;
=-
=
(
=
+
=
(
С учетом сделанных замечаний и выполненных ранее преобразований уравнение гидродинамики приводится к виду
ρ[
ω+ω
]=-∇P+ρ
+∇[µ∇ω-
(
]
Последний член уравнения называют диффузионной вязкостью. Оценим его вклад:
A=
=
=
При больших
и малых
можно пренебречь диффузионной вязкостью.
Уравнение переноса тепла в многокомпонентной среде
=ρh; h=Σ
h(t,
)=>dh=
dt+Σ
=Cdt+
d
dt=
-
d
=>
Основное уравнение переноса тепла в многокомпонентной среде:
ρ[
+ω
]= div q
q=-λ∇t+Σ
=-λ
∇h+
Σ
∇
+ Σ
, т.к. ∇t=
∇h
Σ
∇
Для примера запишем это уравнение для бинарной среды.
=1-
;∇
;
=
=
+
=∇
(
=
+
=
(
=-ρ
∇
(
- это частный случай, когда другие коэффициенты переноса равны 0.
q=-λ
∇h+
(
∇
=-λ
∇h+
(
∇
(1-
)=
∇h+
(1-Le) (
∇
- последний член- перенос тепла диффузионными потоками.
Информация в лекции "8 Управление издержками обращения в аптеке" поможет Вам.
Уравнение переноса тепла в многокомпонентных системах с учетом выражения для q имеет вид:
ρ[
]=div[
∇h+
(1-Le) (
∇
]
Диффузионным переносом тепла для газов можно пренебречь, ибо Le→1.
Проанализируем, когда можно пренебречь диффузионным переносом тепла.
А=
.
Это возможно, когда 























