Колориметрический и фотоколориметрический методы
2 Колориметрический и фотоколориметрический методы.
Фотоколориметрический метод нашел наиболее широкое применение при разработке приборов, предназначенных для определения микроконцентраций токсичных веществ в воздухе.
В приборах, основанных на фотоколориметрическом методе анализа, используется цветная избирательная реакция между индикатором в растворе или на ленте и компонентом газовоздушной смеси, концентрация которого определяется. Причем мерой концентрации определяемого компонента является интенсивность окраски образующихся в результате реакции комплексов.
Преимущества фотоколориметрического метода анализа — высокая чувствительность, избирательность и универсальность. Высокая чувствительность метода обусловлена возможностью накапливать окрашенный продукт химического взаимодействия в растворе или на ленте. Чувствительность метода резко падает при измерении концентраций в несколько объемных процентов и выше.
Избирательность фотоколориметрического метода объясняется тем, что для значительного числа определяемых газов и паров, при известном составе неопределяемых компонентов смеси, могут быть подобраны специфические цветные реакции.
Номенклатура веществ, определяемых этим методом, очень широка, и поэтому фотоколориметрические газоанализаторы принадлежат к наиболее универсальным приборам. Практически при выявлении возможности применения фотоколориметрических газоанализаторов для определения различных веществ решающим является выбор соответствующего реактива, дающего специфическую цветную реакцию с определяемым компонентом и выбор режима работы прибора.
Существует два вида фотоколориметрических газоанализаторов, принципиально отличных по конструктивному исполнению и по принципу действия.
В одних газоанализаторах, называемых фотоколориметрическими жидкостными, реакция протекает в растворе, а концентрация определяемого компонента измеряется по светопоглощению раствора. Достоинством приборов этого типа является более высокая точность измерения (основная приведенная погрешность около 5%) и возможность применения индикаторных растворов, в состав которых входят концентрированные кислоты, что особенно важно для анализа микроконцентраций веществ, химически малоактивных при обычных условиях (углеводороды, терпены и некоторые другие органические продукты).
Рекомендуемые материалы
Основным недостатком жидкостных фотоколориметрических газоанализаторов, затрудняющим их эксплуатацию в производственных условиях, является сложность и громоздкость конструкции, вызванная наличием ряда механических устройств (насосы, дозаторы раствора, двигатели, клапаны, переключатели и т. п.), обеспечивающих движение и взаимодействие участвующих в реакции компонентов (газ — жидкость). Указанный недостаток предопределил ограниченность разработки и применения жидкостных газоанализаторов.
До настоящего времени нет удовлетворительной модели достаточно простого, надежного и недорогого газожидкостного прибора, который бы выпускался серийной отечественной приборостроительной промышленностью. В литературе можно встретить описание всего лишь нескольких конструкций жидкостных фотоколориметров, предназначенных для определения микроконцентраций окислов азота (ФК4501, ФК.4502 и др.), сероводорода (ФК5601) и некоторых других газов. Разработка этих приборов закончилась выпуском опытных образцов, не доведенных до серийного производства, или выпуском малых серий специального назначения. Между тем совершенные конструкции жидкостных фотоколориметрических газоанализаторов необходимы, так как в силу специфических особенностей используемого метода они позволили бы расширить область применения этих приборов на большое число органических веществ, которые не определяются с помощью другого вида приборов.
В газоанализаторах, называемых фотоколориметрическими ленточными, реакция протекает на слое текстильной или бумажной ленты, а концентрация определяемого компонента измеряется по ослаблению светового потока, отраженного от участка индикаторной ленты, изменившей свою окраску в результате химического взаимодействия с определяемым компонентом.
В зависимости от физико-химических свойств индикатора-реактива он может наноситься на ленту — основу либо заранее, в процессе ее специальной обработки (сухая индикаторная лента), либо непосредственно перед ее фотоколориметрированием (мокрая индикаторная лента). Применение индикаторной ленты, особенно сухой, позволяет упростить конструкцию приборов, уменьшить их габариты и вес, устранить хрупкие детали и тем самым повысить эксплуатационную надежность приборов.
Помимо этого, ленточные фотоколориметрические газоанализаторы обладают значительно большей чувствительностью по сравнению с жидкостными приборами. Так, например, порог чувствительности ленточных и жидкостных газоанализаторов составляет соответственно по сероводороду 0,0002 и 0,02 мг/л, по двуокиси азота 0,001 и 0,01 мг/л.
Существенным недостатком ленточных газоанализаторов является значительная погрешность измерения, которая обусловлена в основном неоднородностью материала ленты и ее пропитки, а также погрешностью контрольного химического анализа при калибровке прибора.
Однако если учесть достоинства ленточных фотоколориметрических газоанализаторов и тот факт, что при контроле чистоты воздуха производственных помещений допускается сравнительно большая погрешность измерения, то можно считать вполне целесообразным преимущественную разработку и применение этих приборов для индикации и сигнализации предельно допустимых концентраций токсических газов и паров в воздухе производственных помещений.
За последнее десятилетие ленточные фотоколориметрические газоанализаторы получили значительное развитие.
Первые приборы этого типа были созданы на основе использования индикаторной ленты, смачиваемой из капельницы непосредственно перед фотоколориметрированием (ФЛ6801, ФКГ-3 и др.).
В дальнейшем были усовершенствованы измерительные схемы этих приборов, расширена область применения разработанных модификаций и созданы универсальные ленточные фотоколориметры, предназначенные для измерения малых концентраций самых различных газов и паров в воздухе.
Одной из последних конструкций приборов с мокрой индикаторной лентой является универсальный фотоколориметрический газоанализатор ФЛ5501. Использование в этом приборе двухфотоэлементной измерительной схемы с электрической компенсацией (вместо оптической) позволило упростить конструкцию прибора и сократить операции, связанные с его настройкой.
Дальнейшим развитием ленточных фотоколориметрических газоанализаторов является создание приборов, в которых используется сухая индикаторная лента. Приборы этого типа отличаются прежде всего простотой конструкции, так как в них не нужны устройства, обеспечивающие запас индикаторного раствора, а также его дозировку и подачу на ленту по определенной программе.
На основе этого метода создан ряд приборов, в том числе и базовая конструкция фотоколориметрического газоанализатора с сухой индикаторной лентой (ФГЦ), имеющего несколько модификаций (ФГЦ-1В, ФГЦ-1Е, ФГЦ-2, ФГЦ-3, ФГЦ-4).
Конструкция этих приборов не предусматривает их универсальности — возможности определения одним и тем же прибором концентраций различных газов и паров.
Этот недостаток обусловлен в значительной степени отсутствием методик фотоколориметрического анализа (специфических реакций) многих веществ, содержащихся в воздухе.
Особенности применения методов и выполнения операций
Особенности выполнения анализа органолептическими методами
При анализе визуальным, органолептическим и турбидиметрическим методами (определение запаха, вкуса, цветности, мутности, концентрации сульфат-анионов) выполняющий анализ должен уметь корректно определять вкус, запах, цвет, степень мутности, используя собственные вкусовые ощущения, обоняние и зрение.
Особенности выполнения анализа колориметрическими методами
Колориметрическим (от английского colour – цвет) называется метод анализа, основанный на сравнении качественного и количественного изменения потоков видимого света при их прохождении через исследуемый раствор и раствор сравнения. Определяемый компонент при помощи химико-аналитической реакции переводится в окрашенное соединение, после чего измеряется интенсивность окраски полученного раствора. При измерении интенсивности окраски проб с помощью прибора фотоколориметра метод называется фотоколориметрическим. Соответственно, при измерении интенсивности окраски визуальным способом (например, оценивая интенсивность окраски сравнительно с каким-либо образцом) метод называется визуально-колориметрическим.
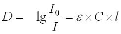
Основной закон колориметрии – закон Бугера–Ламберта–Бера (с ним можно познакомиться подробнее в любом справочнике по колориметрическим методам анализа или в элементарном курсе физики) записывается следующим образом:

где: D – оптическая плотность раствора;
I0 и I – интенсивность светового потока, попадающего на раствор (I0) и прошедшего через раствор (I);
ε – коэффициент светопоглощения (величина, постоянная для данного окрашенного вещества), л х г-моль–1 х см–1;
C – концентрация окрашенного вещества в растворе, г-моль/л;
l – толщина поглощающего свет слоя раствора (длина оптического пути), см.
После обработки и добавления реагентов пробы приобретают окраску. Интенсивность окраски является мерой концентрации анализируемого вещества. При выполнении анализа визуально-колориметрическим методом (pH, железо общее, фторид, нитрат, нитрит, аммоний, сумма металлов) определение проводится в колориметрических пробирках с меткой «5 мл» либо в склянках с меткой «10 мл».
Колориметрические пробирки представляют собой обычные, широко используемые в лабораториях пробирки из бесцветного стекла, имеющие внутренний диаметр (12,8±0,4) мм. Колориметрические пробирки могут иметь несколько меток («5 мл», «10 мл»), показывающих объем (и, следовательно, высоту), до которого следует наполнить пробирку пробой, чтобы обеспечить удобные и близкие условия для визуального колориметрирования. Обычно колориметрические пробирки стараются подобрать одинаковой формы и диаметра, т.к. от последних зависит высота слоя окрашенного раствора. Аналогично подбираются и склянки для колориметрирования (обычно это аптекарские флаконы диаметром до 25 мм).
Наиболее точные результаты при анализе визуально-колориметрическим методом достигаются, если сравнивать окраску пробы с окраской модельных эталонных растворов. Их приготавливают заранее с помощью реактивов-стандартов по методикам, приведенным в приложении 1. Следует иметь в виду, что возникающие в процессе колориметрических реакций окраски обычно малоустойчивы, поэтому при описании приготовления растворов приводят, при необходимости, и сроки их хранения.
Для упрощения визуального колориметрирования при полевых анализах окраску раствора-пробы можно сравнивать не с эталонными растворами, а с нарисованной контрольной шкалой, на которой образцы воспроизводят окраску (цвет и интенсивность) модельных эталонных растворов, приготовленных с соблюдением заданных значений концентрации целевого компонента. Контрольные шкалы, применяемые при визуальном колориметрировании в составе некоторых тест-комплектов, приведены на цветной вкладке.
За результат анализа при визуальном колориметрировании принимают то значение концентрации компонента, которое имеет ближайший по окраске образец контрольной шкалы либо модельного эталонного раствора. Результат анализа представляют в виде:
«близко _________________________ мг/л».
значение концентрации по шкале
В случаях, когда окраска раствора-пробы в колориметрической пробирке окажется имеющей промежуточную интенсивность между какими-либо образцами на контрольной шкале, результат анализа записывают в виде:
«от _______ до _______ мг/л».
Если окраска раствора-пробы в колориметрической пробирке окажется интенсивнее крайнего образца на шкале с максимальной концентрацией, проводят разбавление пробы. После повторного колориметрирования вводят поправочный коэффициент для учета степени разбавления пробы. Результат анализа в этом случае записывают в виде:
«более__________________________________мг/л».
значение максимальной концентрации по шкале

Рис. 1. Фотоэлектроколориметры:
а) лабораторный, марки МКФМ-02;
б) полевой, марки SMART (LaMotte Co., USA).
Окрашенные пробы, полученные при выполнении анализов, можно колориметрировать также с помощью фотоэлектроколориметров (рис. 1). При таком способе определяют оптическую плотность растворов-проб в стеклянных кюветах с длиной оптического пути 1–2 см из комплекта фотоэлектроколориметра (можно использовать и кюветы с большей длиной оптического пути, однако в этом случае следует проводить анализ с увеличенным в 2–3 раза объемом пробы). Приборное колориметрирование позволяет существенно повысить точность анализа, однако требует большей тщательности и квалификации в работе, предварительного построения градуировочной характеристики (желательно не менее 3 построений). При этом измеряют значения оптической плотности модельных эталонных растворов (см. приложение 1). При анализах полевыми методами в экспедиционных условиях удобно фотометрировать пробы с помощью полевых колориметров. В частности, для таких целей ЗАО «Крисмас+» поставляет колориметры различных типов, имеющие набор съемных светофильтров в широком диапазоне длин волн видимого света. Значения основных параметров в случае приборного колориметрирования приведены в тексте описания выполнения определений.
Особенности выполнения анализа титриметрическим методом
Титриметрический метод анализа основан на количественном определении объема раствора одного или двух веществ, вступающих между собой в реакцию, причем концентрация одного из них должна быть точно известна. Раствор, концентрация вещества в котором точно известна, называется титрантом, или титрованным раствором. При анализе чаще всего стандартный раствор помещают в измерительный сосуд и осторожно, малыми порциями, дозируют его, приливая к исследуемому раствору до тех пор, пока не будет установлено окончание реакции. Эта операция называется титрованием. В момент окончания реакции происходит стехиометрическое взаимодействие титранта с анализируемым веществом и достигается точка эквивалентности. В точке эквивалентности затраченное на титрование количество (моль) титранта точно равно и химически эквивалентно количеству (моль) определяемого компонента. Точку эквивалентности обычно определяют, вводя в раствор подходящий индикатор и наблюдая за изменением окраски.
При выполнении анализа титриметрическим методом (карбонат, гидрокарбонат, хлорид, кальций, общая жесткость) определение проводят в склянках или пробирках вместимостью 15–20 мл, имеющих метку 10 мл. В процессе титрования раствор перемешивают стеклянной палочкой либо встряхиванием.
При выполнении анализа титриметрическим методом (карбонат, гидрокарбонат, хлорид, кальций, общая жесткость) определение проводят в склянках или пробирках вместимостью 15–20 мл, имеющих метку 10 мл. В процессе титрования раствор перемешивают стеклянной палочкой либо встряхиванием.
При анализе маломинерализованных вод целесообразно применять титрованные растворы с пониженной концентраций (0,02–0,03 моль/л), которые могут быть получены соответствующим разбавлением более концентрированных титрованных растворов дистиллированной водой.
Для удобства работы с пробирками их можно устанавливать в отверстия мутномера (рис. 2) либо располагать в штативах.
а)
б) 
Рис. 2. Мутномер с мутномерными пробирками:
а) общий вид, б) в разрезе
1 – мутномерная пробирка;
2 – ограничительное кольцо;
3 – корпус мутномера;
4 – черная точка;
5 – экран мутномера.
Информация в лекции "14. Комбинированные запросы" поможет Вам.
Требуемые объемы растворов при титровании отмеряют с помощью бюреток, мерных пипеток или более простых дозирующих устройств: шприцев, калиброванных капельниц и др. Наиболее удобны для титрования бюретки с краном.

Рис. 3. Средства дозировки растворов:
а – бюретка с краном, б – мерная пипетка,
в – шприц-дозатор, г – пипетка-капельница простая,
д – капельница-флакон.
Для удобства заполнения мерных пипеток растворами и титрования их герметично соединяют с резиновой грушей, используя соединительную резиновую трубку. Запрещается заполнение пипеток растворами путем их всасывания ртом! Еще удобнее работать с мерными пипетками, устанавливая их в штативе вместе с медицинским шприцем, герметично соединенным с пипеткой гибкой трубкой (резиновой, силиконовой и т.п.) (рис. 4).

а б
Рис. 4. Установки для титрования в штативах:
а – мерная пипетка; б – бюретка с краном.
Следует иметь в виду, что измерение объема раствора в бюретках, мерных пробирках, мерных колбах проводится по нижнему краю мениска жидкости (в случае водных растворов он всегда вогнут). При этом глаз наблюдателя должен быть на уровне метки. Нельзя выдувать последнюю каплю раствора из пипетки или бюретки. Необходимо знать также, что вся мерная стеклянная посуда калибруется и градуируется при температуре 20°С, поэтому, для получения точных результатов измерения объемов, температура растворов должна быть близка к комнатной при использовании пипеток, бюреток и капельниц. При использовании мерных колб температура раствора должна быть, по возможности, близка к 20°С, т.к. значительная вместимость мерной колбы приводит к заметной ошибке в измерении объема (за счет теплового расширения или сжатия раствора) при отклонениях температуры от 20°С более чем на 2–3°С.
Колориметрические методы, основанные на определении степени окраски соединений, образующихся в результате различных "цветных реакций":
а) метод Сомоджи (1933), в котором используется способность глюкозы восстанавливать гидрат окиси меди в закись меди, превращающей, в свою очередь, арсено-молибденовую кислоту в молибденовую лазурь. Этот метод неспецифичен, трудоемок и в настоящее время редко применяется в клинико-диагностических лабораториях;
б) метод Фолина-Ву (1919), состоящий в определении окраски молибдена синего, который образуется в результате восстановления тартрата меди в окись меди. Последняя, взаимодействуя с молибдотустенгоновой кислотой, дает цветную реакцию. Метод относительно прост: отрицательной стороной его является то, что между имеюшейся в крови глюкозой и получаемой окраской не существует строгой пропорциональности;
в) метод Крезелиус - Зейферт (1928, 1942) основан на восстановлении пикриновой кислоты в пикраминовую с последующим ее колориметрированием. Метод быстр, но не очень точен. Ошибка может превышать 10-20%. В связи с этим указанный метод имеет ориентировочное значение;
г) метод с антроновым реактивом по Моррису (1948) и по Роэ (1955). Антроновый метод заключается в колориметрировании цветного комплекса, образующегося в результате соединения антрона с углеводами. Точные результаты могут быть получены при наличии высокоочищенных химических реактивов и соблюдении постоянной температуры;
д) орто-толуидиновый метод Гультмана в модификации Хиваринена - Никилла (1962), состоящий в определении интенсивности окрашивания раствора, возникающего при взаимодействии орто-толуидина с глюкозой. Этот метод специфичен и точен, дает возможность определять "истинную" глюкозу и поэтому предлагается в качестве унифицированного. Недостатки заключаются в применении неорганических (уксусная кислота) и органических (ТХУ) кислот и этапа кипячения.
Схема реакций орто-толуидинового метода:
Белки крови + ТХУ ---> денатурация и осаждение
глюкоза (Н+, нагрев) -----> оксиметилфурфурол
оксиметилфурфурол + о-толуидин ------> сине-зеленая окраска






















