Уравнение Бернулли
4.2. Уравнение Бернулли для элементарной струйки идеальной жидкости
Выделим двумя нормальными к линиям тока сечениями 1 - 1 и 2 - 2 отсек жидкости, который будет находиться под действием сил давления
и сил тяжести dG Под действием этих сил через малый промежуток времени отсек жидкости из своего первоначального положения переместится в положение между __сечениями
Силы давления, приложен
ные к живым сечениям отсека с правой и с левой сто-
рон имеют противоположные друг другу направления.

Перемещение всего отсека жидкости можно заменить перемещением массы жидкости между сечениями: 1-1иГ-Г в положение 2-2и2'-2', при этом центральная часть отсека жидкости (можно утверждать) своего первоначального положения не меняет и в движении жидкости участия не принимает.
Тогда работа сил давления по перемещению жидкости
можно определить следующим образом:

Работа сил тяжести будет равна работе по перемещению веса отсека жидкости на разницу уровней
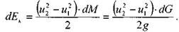
При перемещении отсека жидкости кинетическая энергия изменится на величину:
"Часть 1" - тут тоже много полезного для Вас.
f
Теперь запишем общее уравнение баланса энергии:

Разделив все элементы уравнения на dG и, переместив в левую часть уравнения величины с индексами «1» а в правую - с индексом «2», получим:

Это последнее уравнения носит название уравнения Бернулли для элементарной струйки идеальной жидкости.























