Кинематика поступательного движения
Лекция № 1
КИНЕМАТИКА ПОСТУПАТЕЛЬНОГО ДВИЖЕНИЯ
План
1. Элементы векторной алгебры и векторного анализа. Определение векторов. Сложение и вычитание векторов. Единичный вектор (орт). Проекция вектора на ось. Модуль вектора. Радиус-вектор. Умножение векторов. Дифференцирование векторных величин.
2. Поступательное движение. Система отсчёта. Принцип относительности Галилея. Преобразования Галилея. Границы применимости классического способа описания движения.
3. Понятие материальной точки. Траектория. Путь и перемещение. Скорость и ускорение, их модули.
4. Радиус кривизны траектории. Тангенциальное и нормальное ускорение.

1. Элементы векторной алгебры и векторного анализа. Векторы – величины, характеризующиеся численным значением, направлением и складывающиеся по правилу параллелограмма (рис. 1.1).
Рекомендуемые материалы
Практически сложение векторов удобно производить без построения параллелограмма. Начало второго вектора совмещают с концом первого, начало третьего – с концом второго и т.д. Из начала первого вектора в конец последнего проводят результирующий вектор (рис. 1.2).

Разностью двух векторов
и
называется такой вектор
, который в сумме с вектором
даёт вектор
(рис. 1.3).

Рис. 1.3
Умножение вектора на скаляр
В результате умножения вектора
на скаляр
получается новый вектор
= a×
, модуль которого в
раз отличается от модуля вектора
. Направление
совпадает с направлением
, если
>0, либо противоположно
, если
<0.

Всякий вектор
можно представить в виде
, где
– модуль вектора, а
– вектор, называемый единичным вектором, или ортом, вектора
.
Проекция вектора. Пусть вектор
образует с осью
угол
(рис. 1.4). Величина
называется проекцией вектора
на ось
. Индекс указывает направление, на которое спроектирован вектор. (Например, на ось Х:
и т.п.).
Любой вектор можно выразить через его проекции на координатные оси (компоненты) и орты осей:


Рис. 1.5
Радиус-вектор. Радиусом-вектором некоторой точки Р называется вектор, проведённый из начала координат в данную точку (рис. 1.5). Радиус-вектор можно представить:
,
где проекции
на ось координат равны декартовым координатам точки,
– орты осей X, Y, Z.
Модуль радиус-вектора, как видно из рис. 1.5, равен:

(Аналогично, через компоненты можно найти модули любого вектора
).
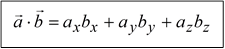
Умножение векторов. Скалярное произведение векторов – это скаляр, равный произведению модулей этих векторов на косинус угла
между ними:

Скалярное произведение можно выразить через компоненты векторов:

Скалярное произведение коммутативно:

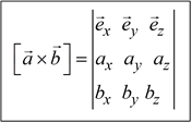
Векторное произведение. Векторным произведением векторов
и
называется вектор
, определяемый формулой:

где
– угол между векторами
и
,
– единичный вектор нормали к плоскости, в которой лежат вектора
и
(рис. 1.6).

Рис. 1.6
(Примечание: направление вектора
совпадает с направлением поступательного движения правого винта, если вращать вектор
по направлению к вектору
– правило правого винта).
Векторное произведение можно рассчитать с помощью определителя:

Векторное произведение некоммутативно:

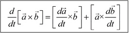
Дифференцирование векторных величин
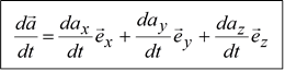
Производная вектора. Рассмотрим вектор
, который изменяется по закону:
, где t – время, тогда производная вектора
по переменной t равна:


Дифференциалом (приращением) функции
называется выражение
, тогда, используя выражение для производной вектора
, получим дифференциал вектора
:

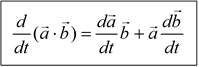
Производная произведения векторов. Производная от скалярного и векторного произведения осуществляется по известным формулам:


(Примечание: некоторые понятия векторного анализа – градиент, циркуляция, ротор, а также элементы теории вероятности – мы рассмотрим в дальнейшем по ходу курса).
2.Кинематика поступательного движения. Любое механическое движение тела можно представить в виде суммы поступательного и вращательного движений.
Поступательным называется такое движение, при котором любая прямая, проведённая в теле, остаётся параллельной самой себе. При этом скорости всех точек тела одинаковы.
Для того чтобы описать движение, нужно задать систему отсчёта – это тело отсчёта, которое условно считается неподвижным, система координат, связанная с телом отсчёта, и прибор для измерения времени («часы»).
Принцип относительности Галилея: механические явления и форма законов, их описывающих, не изменяются при переходе из одной инерциальной системы отсчёта (ИСО) в другую (напомним, что ИСО называется такая система отсчёта, в которой выполняется 1-й закон Ньютона).
Никакими механическими опытами нельзя определить, покоится ли данная СО или движется прямолинейно и равномерно.
Преобразования Галилея. Пусть имеется две ИСО. Система отсчёта К, которую будем считать неподвижной, и система
, которая будет двигаться равномерно и прямолинейно со скоростью V0 (рис. 1.7).
Рис. 1.7
Выберем координатные оси X, Y, Z системы К и оси
,
,
системы
, так чтобы оси X и
совпадали, а Y и
, а также Z и
были параллельными друг другу.
Найдём связь между координатами x, y, z некоторой точки Р в системе К и координатами
,
,
той же точки в системе
.
Если начать отсчёт времени с того момента, когда начала координат обеих систем совпадает, то из рисунка следует:

Продифференцировав эти уравнения по времени, можно получить связь проекций скоростей точки Р в системах К и
на оси координат:

Причём время в обеих системах отсчёта согласно классическим представлениям
.
Заметим, что при скоростях
, сравнимых со скоростью света, преобразования Галилея должны быть заменены на более общие преобразования Лоренца. При описании движения микрочастиц используются методы квантовой механики.
3. Понятие материальной точки. Тело, размерами которого в условиях данной задачи можно пренебречь, называется материальной точкой. Линия, которую описывает материальная точка при своём движении, называется траекторией. В зависимости от формы траектории различают прямолинейное, криволинейное, движение по окружности и т.п.
Пусть материальная точка (частица) переместилась по некоторой траектории из точки 1 в точку 2. Расстояние между точками 1 и 2, отсчитываемое вдоль траектории, называется путём (обозначен
). Прямолинейный отрезок, проведённый из точки 1 в точку 2, называется перемещением, или вектором перемещения (обозначен
) (рис. 1.8).

Скорость – векторная величина, характеризующая быстроту перемещения и направление движения частицы. Разобьём траекторию на участки
, каждому из которых соответствует перемещение
(рис. 1.9). По определению

Таким образом, скорость есть производная радиус-вектора частицы по времени. Перемещение
совпадает с бесконечно малым элементом траектории. Следовательно, вектор
направлен по касательной к траектории.
Модуль скорости
. При
, тогда

т.е. модуль скорости равен производной пути по времени.
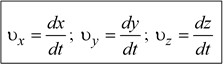
Вектор скорости, как и любой вектор, можно выразить через его компоненты
,
,
:

Модуль скорости: 
Свяжем компоненты скорости с компонентами радиус-вектора
, производная:
, 
сравнивая выражения
и
для
, получим:

т.е. проекции вектора скорости на координатные оси равны производным по времени соответствующих координат движущейся частицы.
Ускорение – векторная величина, характеризующая изменение скорости по величине и направлению. По определению ускорения
:

Легко показать (читатель сам может это проверить), что
,
,
.

Рис. 1.10
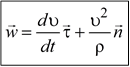
4. Радиус кривизны траектории. Можно показать, что в общем случае при движении по криволинейной траектории с переменной скоростью вектор ускорения можно представить в виде:
, или
,
где

Первое слагаемое – тангенциальное ускорение
, характеризующее изменение скорости по абсолютной величине, где
– единичный вектор, направленный по касательной к траектории (
) (рис. 1.10).

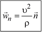
Второе слагаемое
– нормальное (центростремительное ускорение), характеризующее изменение скорости по направлению, где
– единичный вектор нормали, направленный перпендикулярно скорости и по модулю равный единице:
;
– радиус кривизны, представляющий собой радиус окружности, которая сливается в данном месте с кривой на бесконечно малом её участке. Центр такой окружности называется центром кривизны для данной точки кривой (рис. 1.11).
Пример решения задачи на кинематику поступательного движения материальной точки.
| Дано:
| Решение:
|
| Найти:
|
Вопросы для самоконтроля
"Часть 1" - тут тоже много полезного для Вас.
1. Дайте определения скалярного и векторного произведения векторов.
2. Что такое радиус-вектор?
3. Какое движение называется поступательным?
4. В чём заключается принцип Галилея? Что устанавливают преобразования Галилея?
5. Что такое скорость? Как найти модуль скорости?
6. Какова ориентация векторов тангенциального и нормального ускорений? Запишите соответствующие выражения для них.



м

=
,
.
, 


















