Организация и технология сбора и межпромыслового транспорта природного газа
Лекция 3
Организация и технология сбора и межпромыслового транспорта природного газа
Сооружения линейной части межпромысловых газопроводов
Принципиальная схема газового промысла от скважины до подсоединения к магистральному газопроводу (МГ) приведена на рисунке 2.4.

Рисунок 2.4. Принципиальная схема газового промысла
Определение понятия "газопровод" в соответствии с ДСТУ 4611-2006 "Магістральні трубопроводи. Терміни та визначення понять":
Газопровод – трубопровод, по которому перемещают газ.
Рекомендуемые материалы
Трубопровод – сооружение из плотно соединенных труб, по которому перемещают продукты в газообразном, жидком состоянии или многофазные смеси.
Трубопроводы разделяют:
по функциональному назначению (магистральные, промысловые, технологические и т.д.);
по виду транспортируемого продукта (газопроводы, нефтопроводы, нефтопродуктопроводы и т.д.);
по способу прокладки (надземные, наземные, подземные, подводные трубопроводы);
по составу (равнопроходные, телескопические, простые, сложные трубопроводы и т.д.).
В состав промысловых трубопроводов газовых и газоконденсатных месторождений включают:
основные трубопроводы
– газопроводы-шлейфы, предназначенные для транспортирования газа и газового конденсата от скважин месторождений и подземных хранилищ газа до установок подготовки газа и от компрессорных станций подземных хранилищ до скважин для закачки газа в пласт;
– газопроводы, газовые коллекторы неочищенного газа, межпромысловые коллекторы, трубопроводы для транспортирования газа и газового конденсата от установок подготовки газа до головных сооружений, компрессорных станций, подземных хранилищ независимо от их протяженности;
вспомогательные трубопроводы
– трубопроводы для подачи очищенного газа и ингибитора в скважины и на другие объекты обустройства месторождений;
– трубопроводы сточных вод давлением более 10 МПа для подачи ее в скважины для закачки в поглощающие пласты;
– метанолопроводы.
Промысловые трубопроводы могут проектироваться подземными, наземными с последующей отсыпкой насыпи или надземными на опорах. Основным видом прокладки трубопроводов должна быть подземная.
Схемы сбора и межпромыслового транспорта газа
Спроектированный и введенный в эксплуатацию газовый промысел должен обеспечиваться системой сбора газа и его межпромыслового транспорта.
Выбор схемы сбора газа и его дальнейшего транспорта будет функцией отзыва на влияние внутренних факторов, которые проявляются при разработке месторождения, и ряда внешних факторов.
Исходя из вышеизложенного, схема сбора и межпромыслового транспорта газа должна учитывать влияние следующих внутренних факторов:
- компонентный состав газа с учетом наличия в нем конденсата, механических примесей, влаги, агрессивных веществ (углекислоты, ряда органических кислот, сероводорода);
- размещение скважин на площади газоносности и расстояния между ними;
- технологические режимы работы скважин месторождения (давление, дебит, температура);
К внешним факторам следует отнести:
- условия по качеству передачи газа в магистральный газопровод или потребителю;
- давление на выходе из установки сбора и подготовки газа, определяемое величиной рабочего давления магистрального газопровода;
- метод и технологию подготовки газу к дальнейшему транспорту.
Существующие на данное время системы сбора и межпромыслового транспорта газа классифицируются в зависимости от:
- рабочего давления в системе;
- необходимости установки дожимных компрессорных станций (ДКС) в системе сбора и межпромыслового транспорта газа;
- по степени централизации размещения объектов газодобывающего предприятия;
- конфигурации газосборных коллекторов.
По рабочему давлению системы сбора газа делятся на:
- вакуумные (рабочее давление до 0,1 МПа);
- системы низкого давления (от 0,1 до 0,6 МПа);
- системы среднего давления (от 0,6 до 1,6 МПа);
- высокого давления (более 1,6 МПа).
Низкое рабочее давление в системе Рс и малые объемы потребления газа местными потребителями обуславливают необходимость установки ДКС в системе сбора и межпромыслового транспорта газа в том случае, если давление Рс ниже давления в точке передачи газа Рт.п., т.е при выполнении условия: Рс<Рт.п. В этом случае схема сбора считается компрессорной. При выполнении условия: Рс≥Рт.п. установка ДКС не нужна и схема сбора газа считается бескомрессорной.
Очевидно, что в качестве централизованного газосборного пункта компрессорная схема предусматривает ДКС, бескомпрессорная схема – УКПГ или ГС.
По степени централизации размещения объектов газодобывающего предприятия различают схемы сбора:
- индивидуальные;
- групповые;
- централизованные.
В начальный период разработки месторождения (рисунок 2.5), а также на промыслах с большими расстояниями между скважинами на площади газоносности, применяют индивидуальную схему сбора газа, при которой каждая скважина имеет свою установку подготовки газа УПГ или газосборный пункт – ГСП, после которой газ подается в газосборный коллектор и на централизованный газосборный пункт (ЦСП). Эту же схему можно применить на завершающем этапе разработки месторождения в условиях низкого рабочего давления путем приближения малогабаритной дожимной компрессорной станции как можно ближе к устью скважины.
Несмотря на достаточную эффективность с точки зрения увеличения объемов добываемого газа, такая схема предусматривает и увеличение материальных и часовых затрат на обслуживание, увеличение объема потерь газа за счет большого числа запорной арматуры, уменьшение надежности работы системы.

Рисунок 2.5 – Индивидуальная система сбора газа на промыслах
При групповой схеме сбора и межпромыслового транспорта газа (рисунок 2.6) комплекс оборудования по подготовке газа размещен на групповом газосборном пункте и предусматривает сбор и подготовку газа из нескольких скважин. Схема дальнейшей подачи газа – аналогична предыдущей.

Рисунок 2.6 – Групповая система сбора газа на промыслах
Основным плюсом этой схемы является снижение капиталовложений в обустройство системы, поскольку увеличивается коэффициент загрузки технологических аппаратов, повышается их мощность, а затраты на обслуживание, диспетчеризацию и автоматизацию снижаются.
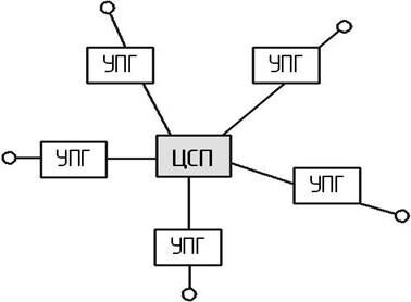
При централизованной системе сбора (рисунок 2.7) газ собирается со всех скважин месторождения по индивидуальным линиям на централизованный газосборный пункт, где проводится весь комплекс работ по его подготовке и передача потребителю.

Рисунок 2.7 – Централизованная система сбора газа на промыслах
При такой схеме достигается большая концентрация технологического оборудования в одном месте, уменьшаются металлозатраты и капитальные вложения в подготовку газа, но увеличивается влияние гидравлических сопротивлений в индивидуальных линиях сбора газа (шлейфах), растет давление на устье скважин, увеличивается возможность возникновения гидратных пробок, а на месторождениях с низким рабочим давлением скважин – уменьшается добыча.
По конфигурации газосборных коллекторов различают:
- бесколлекторную систему сбора газа (подготовленный или неподготовленный газ поступает на центральный сборный пункт по индивидуальным линиям (шлейфам);
- коллекторную систему (отдельные скважины подключают к газосборным коллекторам, по которым газ поступает на центральный сборный пункт).
В коллекторной системе различают следующие виды подключения скважин (рисунок 2.8):
- линейное;
- лучевое;
- кольцевое.
Линейное соединение скважин в системе применяют при разработке вытянутых в плане месторождений с небольшим числом эксплуатационных скважин.
Лучевая газосборная сеть состоит из нескольких лучей коллекторов, сходящихся в одной точке.
При наличии разветвленной сети коллекторов, которая посредством перемычек представляет собой замкнутую систему, охватывающую большую часть месторождения – соединение носит кольцевой характер. Кольцевая схема является наиболее надежной, поскольку обеспечивает бесперебойную подачу газа даже в случае аварийной ситуации или профилактического обслуживания на одном из объектов.

Вместе с этой лекцией читают "1.4. Уровни взаимодействия компьютеров".
Рисунок 2.8 – Виды соединения в коллекторной форме подключения скважин: а – индивидуальное, б – групповое.
Коротаев Ю.П. Эксплуатация газовых месторождений. Недра, 1975 (с.34-37).
Ширковский А.И. Разработка и эксплуатация газовых и газоконденсатних месторождений.Недра.1979 (с.122-129)
Коршак А.А., Шаммазов А.М. Основы нефтегазового дела. Учебник для вузов. Уфа, 2005 –528с.
ДСТУ 4611-2006 "Магістральні трубопроводи. Терміни та визначення понять"
СП 34-116-97 Инструкция по проектированию, строительству и реконструкции промысловых нефтегазопроводов























