Расчет вероятности рождения у пробанда ребенка
8. Расчет вероятности рождения у пробанда ребенка с тем или иным альтернативным проявлением признака.
Важнейшим этапом генеалогического метода является прогнозирование потомства пробанда. В простейших случаях оно заключается в вычислении вероятности рождения у пробанда ребенка с тем или иным альтернативным проявлением признака.
Вероятность рождения ребенка с тем или иным альтернативным признаком определяется как доля детей с эти признаком среди потомков, имеющих все фенотипы, которые только возможны у детей анализируемой родительской пары. Например, при таком ожидаемом расщеплении (соотношении) потомства по фенотипу, как 3 больные : 1 здоровые, вероятность рождения больного ребенка будет равна ¾, а вероятность рождения здорового ребенка – ¼.
Расчет вероятности рождения ребенка с тем или иным признаком рекомендуется производить в следующей последовательности:
1. Напишите генотипы родителей.
2. Напишите типы гамет, которые производят родители.
3. Напишите расщепление (соотношение) потомков F1 по генотипу и фенотипу.
4. Рассчитайте вероятность рождения ребенка с интересующим вас фенотипом (признаком).
На следующем примере познакомьтесь с итоговой записью расчета вероятности рождения ребенка у родителей с известными генотипами.
Рекомендуемые материалы
Пример.
Условие задачи.
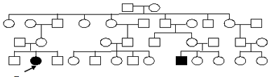
Болезнь наследуется по аутосомно-рецессивному типу. Пробанд болен, и его родословная имеет следующий вид:

Жена пробанда здорова и не содержит в своем генотипе патологических аллелей. Чему равна вероятность рождения у пробанда здорового ребенка?
Решение:
Генная запись скрещивания:
Здоровая Больной
Р ♀ АА х ♂ аа
Типы гамет А а
F1 Аа
Здоровые
Вероятность рождения здорового ребенка (генотип Аа):
Р = 1/1 = 1 (100%)
Ответ: Вероятность рождения у пробанда здорового ребенка равна 1 (100%).
9. Задания для самостоятельной работы.
Определите тип наследования, генотип пробанда в следующих родословных.
Родословная 1.

Родословная 2.

Лекция "Часть 7" также может быть Вам полезна.
Родословная 3.

Родословная 4.

Родословная 5.






















