Расчёт эффективности системы пылегазоочистки
Расчёт эффективности системы пылегазоочистки
Эффективность очистки газов. Эффективность очистки газов η (степень очистки, коэффициент полезного действия) обычно выражается отношением количества уловленного материала к количеству материала, поступающего в газоочистной аппарат с пылегазовым потоком, за определенный период времени. Суммарную степень очистки газов η, достигаемую в нескольких последовательно установленных аппаратах, определяют по формуле
η=1-(1-η1)∙ (1-η2)∙ (1-ηn), где η1, η2, ηn — степень очистки газов соответственно в первом, втором и n-ном газоочистителе.
Эффективность улавливания пыли может быть выражена в виде коэффициента проскока частиц, который представляет собой отношение количества вредных веществ за газоочистителем к количеству вредных веществ, поступающих в газоочистной аппарат. Коэффициент проскока ε рассчитывается по формуле ε = 100 — η.
Эффективность очистки может быть определена различными методами. Метод, основанный на использовании экспериментальных данных. В
данном случае эффективность очистки определяется по содержанию вредных веществ в газах до поступления в газоочистной аппарат и на выходе из него:

где М ул — масса вредных веществ, уловленных в единицу времени, г/с; Мвх, Мвых — массовый расход вредных веществ в газах, соответственно поступающих и выходящих из газоочистного аппарата, г/с; Qвх , Qвых, — объемный
Рекомендуемые материалы
расход газов, соответственно поступающих и выходящих из газоочистного аппарата, м3/с; Свх ,Свых — концентрация частиц в газах, соответственно по-
ступающих и выходящих из газоочистного аппарата, г/м3.
Если объемный расход газов, проходящих через газоочистной аппарат, изменяется за счет подсоса воздуха, эффективность аппарата определяют в соответствии с объемным расходом воздуха при подсосе, исходя из концентрации какого-либо газового компонента, не вступающего в аппарате в реакции (обычно S02 или С02):

где Кп — коэффициент подсоса, равный отношению концентраций анализируемого газового компонента в газах,% (объемная), после и до аппарата.
Если имеются экспериментальные данные по фракционным степеням очистки ηф (для взвешенных частиц), то может использоваться формула

где Ф1, Ф2,... Фn — содержание данной фракции на входе в фильтр,%. Фракционная эффективность очистки ηф выражается формулой

где Фвх, Фвых — содержание данной фракции в газах соответственно на входе и на выходе из фильтра,%.
Для расчета по формуле (5.3) могут быть использованы кривые фракционных эффективностей (степени очистки) ηф = f {d4), полученные экспериментальным путем для некоторых типов пылеуловителей (5.3). К кривым фракционной эффективности даются условия, при которых они были получены (по плотности пыли, диаметру аппарата и т. д.), а также поправочные формулы для пересчета на конкретные условия очистки выбросов. Для сокращения расчетов могут быть использованы номограммы.

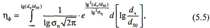
2. Метод расчета, основанный на вероятностном подходе к процессу пылеулавливания. В некоторых случаях кривая фракционной эффективности аппарата ηф =f(d4) при построении в вероятностно-логарифмической системе координат приобретает вид прямой линии, свидетельствующей о том, что она подчиняется логарифмически нормальному закону распределения и может быть записана в виде интеграла вероятности

где lg (d4/d50) — логарифм отношения текущего размера частиц dч к диаметру частиц d50, осаждаемых в аппарате при данном режиме его работы на 50%; lg σn — стандартное отклонение в функции распределения фракционных коэффициентов очистки.
Значение d соответствует ординате графика ηф = f(dч), равной 0,5 (50%), a Lg σ находится из соотношения

Бесплатная лекция: "Опасность и вероятность кризисов в тенденциях циклического развития организации" также доступна.
где dl5,97 — значение абсциссы, ордината которой равна 0,1597 (15,97%); d84,13 — значение абсциссы, ордината которой равна 0,8403 (84,03%).
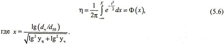
Если распределение подлежащих улавливанию частиц пыли на входе в аппарат является нормально-логарифмическим, то зависимость полного коэффициента очистки можно найти по формуле

Значения нормальной функции распределения Ф (х) в зависимости от величины х приведены в табл. метод. указаний.
Таким образом, зная dm и σч (характеристику улавливаемой пыли), d50 и σn (характеристику пылеулавливающего аппарата), можно определить эффективность очистки проектируемого аппарата.
Необходимо иметь в виду, что расчет эффективности по формуле (5.6) возможен только для пылеуловителей, работающих в тех режимах, при которых были найдены значения d50 и σn. Если условия работы отличаются от экспериментальных, то необходимо скорректировать величину d50.
























