Для студентов СамГТУ по предмету Высшая математикаПриложения интегрального исчисленияПриложения интегрального исчисления
5,0053259
2024-07-272024-07-27СтудИзба
ДЗ: Приложения интегрального исчисления вариант 12
Описание
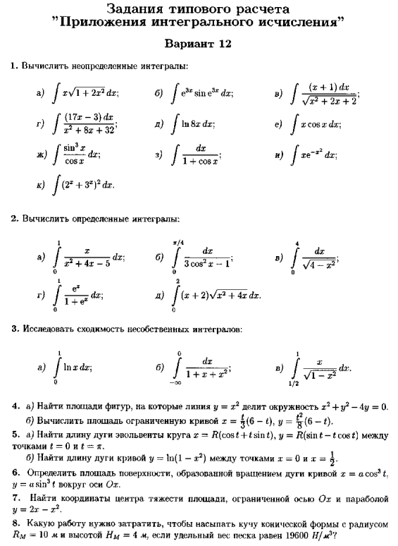
Задания типового расчета
1. Вычислить неопределенные интегралы
2. Вычислить определенные интегралы
3. Исследовать сходимость несобственных интегралов
4. а) Найти площади фигур, на которые линия делит окружность
б) Вычислить площадь ограниченную кривой
5. а) Найти длину дуги эвольвенты круга между точками
б) Найти длину дуги кривой между точками
6. Определить площадь поверхности, образованной вращением дуги кривой вокруг оси.
7. Найти координаты центра тяжести площади, ограниченной осью и параболой
8. Какую работу нужно затратить, чтобы насыпать кучу конической формы с радиусом 10 м и высотой 4 м, если удельный вес песка равен 19600 Н/м?
![]()
1. Вычислить неопределенные интегралы
2. Вычислить определенные интегралы
3. Исследовать сходимость несобственных интегралов
4. а) Найти площади фигур, на которые линия делит окружность
б) Вычислить площадь ограниченную кривой
5. а) Найти длину дуги эвольвенты круга между точками
б) Найти длину дуги кривой между точками
6. Определить площадь поверхности, образованной вращением дуги кривой вокруг оси.
7. Найти координаты центра тяжести площади, ограниченной осью и параболой
8. Какую работу нужно затратить, чтобы насыпать кучу конической формы с радиусом 10 м и высотой 4 м, если удельный вес песка равен 19600 Н/м?

Характеристики домашнего задания
Предмет
Учебное заведение
Вариант
Просмотров
1
Качество
Фото рукописных листов
Размер
539,92 Kb
Список файлов
Tipovik_SamGTU_Prilozhenia_integralnogo_ischislenia_8_zadaniy-55-69.pdf

Если нужен другой вариант работы или отдельная задача из любой работы, пишите в комментарии