Для студентов МГТУ им. Н.Э.Баумана по предмету Вычислительные алгоритмыЧисленное решение ОДУ (задача Коши)Численное решение ОДУ (задача Коши)
5,0056
2024-02-102024-02-10СтудИзба
Лабораторная работа: Численное решение ОДУ (задача Коши)
Описание
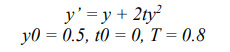
Задача 7.3.4 Решить приближенно задачу Коши для ОДУ 1 порядка вида
используя метод Рунге-Кутты 4 порядка точности и экстраполяционный метод Адамса 3 порядка с шагами h и h/2. Для каждого метода оценить погрешность по правилу Рунге и вычислить уточненное решение. Построить на одном чертеже графики приближенных решений (с шагом h/2) и графики уточненных решений.
Отчет оформлен по госту, с импользованием математических формул, шагов решения. Содержит код решения задач на Matlab. Был защищен на "отлично"
используя метод Рунге-Кутты 4 порядка точности и экстраполяционный метод Адамса 3 порядка с шагами h и h/2. Для каждого метода оценить погрешность по правилу Рунге и вычислить уточненное решение. Построить на одном чертеже графики приближенных решений (с шагом h/2) и графики уточненных решений. Отчет оформлен по госту, с импользованием математических формул, шагов решения. Содержит код решения задач на Matlab. Был защищен на "отлично"
Характеристики лабораторной работы
Предмет
Учебное заведение
Семестр
Просмотров
2
Размер
193,99 Kb
Список файлов
ЛР7_ВA.pdf
Комментарии
Нет комментариев
Стань первым, кто что-нибудь напишет!
МГТУ им. Н.Э.Баумана


















