Для студентов МГТУ им. Н.Э.Баумана по предмету Вариационное исчислениеЭкстремум функционала. Изопериметрическая задачаЭкстремум функционала. Изопериметрическая задача
5,0052
2023-03-022023-03-02СтудИзба
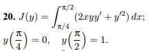
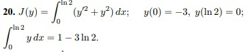
ДЗ 3, 4: Экстремум функционала. Изопериметрическая задача вариант 20
Описание


Характеристики домашнего задания
Предмет
Учебное заведение
Вариант
Просмотров
38
Качество
Фото рукописных листов
Размер
509,22 Kb
Список файлов
4.20.jpg
3.20.jpg