Для студентов НГТУ по предмету Устройства СВЧ и антенны (УСВЧиА)Исследование печатной дипольной антенны и шлейфного мостаИсследование печатной дипольной антенны и шлейфного моста
4,92522871
2022-10-052022-10-05СтудИзба
Лабораторная работа 4: Исследование печатной дипольной антенны и шлейфного моста вариант 2
Описание
Исследование печатной дипольной антенны и шлейфного моста
Задание
Смоделировать печатную дипольную антенну и шлейфный мост.Исходные данные
- ПЕЧАТНАЯ ДИПОЛЬНАЯ АНТЕННА
Ширина пластин 2 мм;
Волновое сопротивление источника, ρ0= 200 Ом.
- ШЛЕЙФНЫЙ МОСТ.
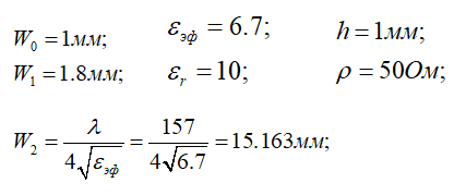
Толщина диэлектрической пластины, 1 мм;
Толщина фольги, 2 мкм;
Электрическая постоянная диэлектрика,
Ширина печатных проводников, 2 мм;

Расчет длины плеча диполя
Найдем длину волны:

Результаты моделирования в пакете CST Studio Suite
Характеристики лабораторной работы
Учебное заведение
Семестр
Номер задания
Вариант
Просмотров
10
Качество
Идеальное компьютерное
Размер
1,02 Mb
Список файлов
График.png
Отчет.doc

Вам все понравилось? Получите кэшбэк - 40 рублей на Ваш счёт при покупке. Поставьте оценку и напишите положительный комментарий к купленному файлу. После Вы получите деньги на ваш счет.