Для студентов МГТУ им. Н.Э.Баумана по предмету Уравнения математической физики (УМФ)Приведение дифференциальных уравнений к каноническому виду (задания: 73, 40, 45, препод. Сердюков В.И.)Приведение дифференциальных уравнений к каноническому виду (задания: 73, 40, 45, препод. Сердюков В.И.)
5,0051
2025-10-262025-10-26СтудИзба
ДЗ 1: Приведение дифференциальных уравнений к каноническому виду (задания: 73, 40, 45, препод. Сердюков В.И.) вариант 73, 40, 45
Описание
Домашнее задание по курсу "Уравнения математической физики", принятое Сердюковым В.И. (ФН-2).
Задание:
Определить области, где тип дифференциального уравнения в частных производных второго порядка будет одним и тем же. Привести уравнение в каждой из этих областей к каноническому виду.
1. Определить тип уравнения.
2. Составить уравнение характеристик.
3. Заменить переменные.
4. Вычислить частные производные.
5. Получить уравнение в каноническом виде, подставив полученные производные в исходное уравнение.
В домашнем задании представлены следующие 3 задачи:
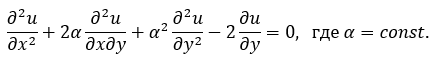
Задача №40
![]()
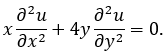
Задача №45
![]()
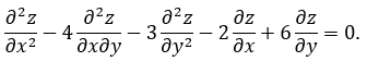
Задача №73
![]()
Задание:
Определить области, где тип дифференциального уравнения в частных производных второго порядка будет одним и тем же. Привести уравнение в каждой из этих областей к каноническому виду.
1. Определить тип уравнения.
2. Составить уравнение характеристик.
3. Заменить переменные.
4. Вычислить частные производные.
5. Получить уравнение в каноническом виде, подставив полученные производные в исходное уравнение.
В домашнем задании представлены следующие 3 задачи:
Задача №40

Задача №45

Задача №73

Файлы условия, демо
Характеристики домашнего задания
Учебное заведение
Номер задания
Программы
Просмотров
2
Качество
Идеальное компьютерное
Размер
1,14 Mb
Преподаватели
Список файлов
УМФ_ДЗ1_задачи 73(г)_40(п)_45(с).docx
Комментарии
Нет комментариев
Стань первым, кто что-нибудь напишет!
МГТУ им. Н.Э.Баумана



















