Для студентов МГТУ им. Н.Э.Баумана по предмету Уравнения математической физики (УМФ)УМФ.3ДЗ.ВАР29УМФ.3ДЗ.ВАР29
5,0051
2020-07-202020-07-20СтудИзба
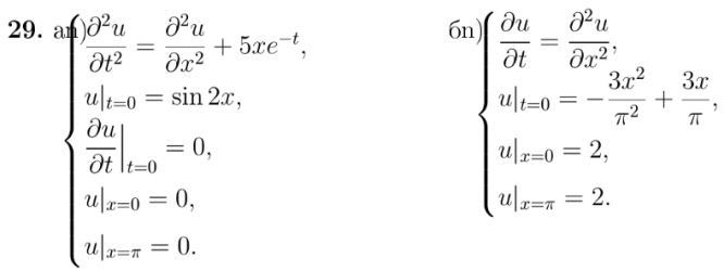
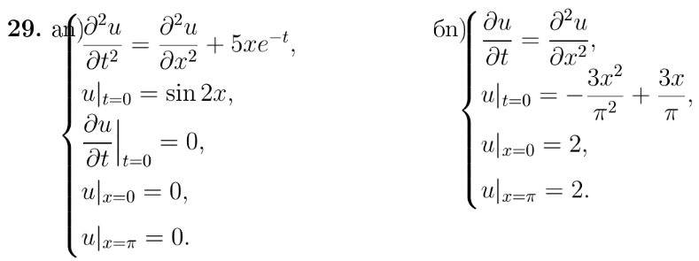
ДЗ: УМФ.3ДЗ.ВАР29 вариант 29
Описание
Характеристики домашнего задания
Учебное заведение
Семестр
Вариант
Теги
Просмотров
70
Качество
Скан рукописных листов
Размер
4,6 Mb
Список файлов
УМФ 3 ДЗ Вар 29.pdf
Вопросы
Вопрос
Ошибки нет. 0=0
Вопрос
Есть ошибка при нахождении С2 в 4 пункте 1 задачи.
МГТУ им. Н.Э.Баумана


















