Для студентов МГТУ им. Н.Э.Баумана по предмету Уравнения математической физики (УМФ)Модульное домашнее задание №2, вариант №8. Решение 5 краевых задач.Модульное домашнее задание №2, вариант №8. Решение 5 краевых задач.
5,0054
2019-10-132019-10-13СтудИзба
Курсовая работа: Модульное домашнее задание №2, вариант №8. Решение 5 краевых задач.
Бестселлер
Описание
Решение 5-ти краевых задач (вариант №8):
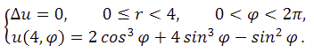
1). Краевая задача для уравнения Лапласа в круге
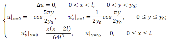
2). Краевая задача для уравнения Лапласа в прямоугольнике
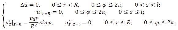
3). Краевая задача для уравнения Лапласа в круговом цилиндре
4). Краевая задача для уравнения Гельмгольца в круге
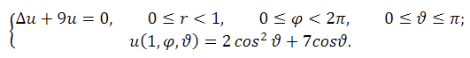
5). Краевая задача для уравнения Гельмгольца в шаре
1). Краевая задача для уравнения Лапласа в круге





Характеристики курсовой работы
Учебное заведение
Семестр
Просмотров
600
Размер
161,5 Kb
Список файлов
Домашнее задание №2 по УМФ и ПФ (вариант №8).pdf

Всё на свете могло быть иным, но иметь тот же смысл. Но иначе и быть не могло.