Для студентов ИДДО НИУ «МЭИ» по предмету Управление проектамиКурс Управление проектами (ИДДО УП-Б-4-1-Экз) КМ-2. Методы расчета. ТестированиеКурс Управление проектами (ИДДО УП-Б-4-1-Экз) КМ-2. Методы расчета. Тестирование
5,00510
2024-10-082024-10-08СтудИзба
Ответы к заданиям КМ-2: Курс Управление проектами (ИДДО УП-Б-4-1-Экз) КМ-2. Методы расчета. Тестирование
Бестселлер
Описание
База ответов к тесту КМ-2. Методы расчета. Тестирование - поможет сдать быстро и качественно.
Так же могу сдать этот тест за вас, выполнить письменную работу.
Курс Управление проектами (ИДДО УП-Б-4-1-Экз)
Волкова Дарья ЮрьевнаПоказать/скрыть дополнительное описание
Так же могу сдать этот тест за вас, выполнить письменную работу.

Курс Управление проектами (ИДДО УП-Б-4-1-Экз)
Волкова Дарья ЮрьевнаПоказать/скрыть дополнительное описание
Курс Управление проектами (ИДДО УП-Б-4-1-Экз) КМ-2. Методы расчета. Тестирование.
Список вопросов
Какие существуют основные требования к детальному плану проекта?
Укажите все варианты.
Результатом предпроектного анализа может стать ...
Результатом предпроектного анализа может стать ...
Укажите все правильные ответы.
Сущность управления проектом можно определить как:
Сущность управления проектом можно определить как:
Укажите все варианты.
Результат проектного анализа - это:
Результат проектного анализа - это:
Общая структура процесса управления проектом включает в себя стадии:
Укажите все правильные ответы.
Материальные ресурсы - это:
Материальные ресурсы - это:
На какой стадии управления решается задача проведения торгов и заключения контрактов?
Цель календарного планирования - это:
Укажите все правильные ответы.
На каком этапе разработки проекта разрабатывается бизнес-план проекта?
Укажите все правильные ответы.
Разработка технико-экономического обосновании осуществляется:
Разработка технико-экономического обосновании осуществляется:
Какие методы используются для оценки осуществимости проекта?
К функциям управления проектом можно отнести:
К видам проектного анализа относятся:
Процесс разработки детального плана проекта содержит этапы:
Укажите все правильные ответы.
Что лежит в основе организационного планирования?
Что лежит в основе организационного планирования?
Результатами технико-экономического обосновании являются:
На какой стадии управления решается задача построения структурной декомпозиции работ проекта?
На каком этапе разработки проекта разрабатывается технико-экономическое обоснование проекта?
Укажите все правильные ответы.
Кем принимается решение о необходимости разработки технико-экономического обоснования?
Кем принимается решение о необходимости разработки технико-экономического обоснования?
На какой стадии управления решается задача формирования команды проекта?
Укажите все правильные ответы.
Планирование проекта – это:
Планирование проекта – это:
На какой стадии управления и в какой функциональной области решается задача формирования организационной структуры проекта?
Смета проекта - это ...
На какой стадии управления решается задача принятия решения о дальнейшем использовании средств коммуникаций проекта?
На основе каких структурных моделей формируется матрица ответственности?
Укажите все правильные ответы.
Ресурсное планирование при ограничении доступности ресурсов, в случае перегрузки трудовых ресурсов, предполагает:
Ресурсное планирование при ограничении доступности ресурсов, в случае перегрузки трудовых ресурсов, предполагает:
Какие сетевые графики имеют третью степень детализации?
Проект жизнеспособен, если ...
К уровням планирования можно отнести:
На какой стадии управления и в какой функциональной области решается задача формирования бюджета проекта?
Проект финансово реализуем, если ...
Укажите все правильные ответы.
Трудовые ресурсы – это:
Трудовые ресурсы – это:
На какой стадии управления решается задача формирования отчетности по управлению рисками?
Полный резерв времени — это ...
На какой стадии управления и в какой функциональной области решается задача проверки устойчивости и безубыточности проекта?
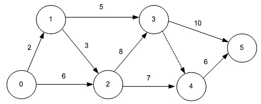
Правильно ли построен сетевой график, изображенный на рисунке?
![]()

Если для работы с фиксированной длительностью уменьшили длительность работы, то, как это отразится на объёме работ?
Цель организационного планирования - это ...
Если для работы с фиксированной длительностью уменьшили длительность работы, то, как это отразится на количестве исполнителей?
На какой стадии и в какой функциональной области решается задача принятия решения о промежуточной приемке?
Чему равна длина критического пути сетевого графика?
![]()

Укажите все правильные ответы.
Уровень детализации плана проекта зависит:
Уровень детализации плана проекта зависит:
Работа - это ...
Что лежит в основе сметного планирования?
Путь — это ...
На каком этапе разработки проекта проводится проектный анализ?
На этапе календарного планирования решаются задачи:
Полный резерв времени - это ...
На основе каких показателей даётся экономическая оценка проекта?
На какой стадии управления решается задача обучения членов команды проекта?
На какой стадии управления решается задача подготовки тендерной документации?
Коэффициент сложности сетевого графика — это ...
Какие сетевые графики имеют первую степень детализации?
Укажите все правильные ответы.
Управление проектом можно определить как:
Управление проектом можно определить как:
Критический путь — это ...
Путь - это ...
Событие — это ...
Укажите все правильные ответы.
Разработка технико-экономического обосновании осуществляется:
Разработка технико-экономического обосновании осуществляется:
Эти вопросы в других коллекциях
Характеристики ответов (шпаргалок) к заданиям
Тип
Коллекция: Ответы (шпаргалки) к заданиям
Предмет
Учебное заведение
Номер задания
Теги
Просмотров
98
Качество
Идеальное компьютерное
Количество вопросов
Преподаватели

Гарантия сдачи без лишних хлопот! ✅🎓 Ответы на тесты по любым дисциплинам, базы вопросов, работы и услуги для Синергии, МЭИ и других вузов – всё уже готово! 🚀 🎯📚 Гарантия качества – или возврат денег! 💰✅