Для студентов по предмету Термодинамика и тепломассообменОпределить литровую мощность и удельный индикаторный расход топлива четырехцилиндрового (i = 4) четырехтактного (τ = 4) двигателя, если среднее индикаОпределить литровую мощность и удельный индикаторный расход топлива четырехцилиндрового (i = 4) четырехтактного (τ = 4) двигателя, если среднее индика
5,0053
2021-12-202021-12-20СтудИзба
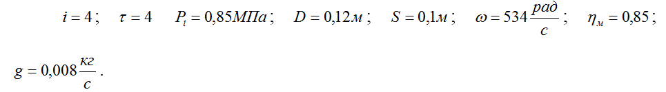
Определить литровую мощность и удельный индикаторный расход топлива четырехцилиндрового (i = 4) четырехтактного (τ = 4) двигателя, если среднее индикаторное давление равно Pi (Па). Диаметр цилиндра D = 0,12 м, ход поршня S = 0,1 м, угловая скорость в
Описание
Определить литровую мощность и удельный индикаторный расход топлива четырехцилиндрового (i = 4) четырехтактного (τ = 4) двигателя, если среднее индикаторное давление равно Pi (Па). Диаметр цилиндра D = 0,12 м, ход поршня S = 0,1 м, угловая скорость вращения коленчатого вала ω, (рад/с), механический ηм и удельный расход топлива g = 0,008 кг/с.
Характеристики решённой задачи
Программы
Просмотров
21
Качество
Идеальное компьютерное
Размер
47,81 Kb
Список файлов
