Для студентов МГТУ им. Н.Э.Баумана по предмету Теория вероятностей и математическая статистика (ТВиМС)Математическая статистикаМатематическая статистика
5,0051
2026-01-14СтудИзба

ДЗ 2: Математическая статистика вариант 23

-51%

Описание

  • ⭐Полностью готовая работа в идеальном компьютерном качестве⭐
  • 🛡️100 % гарантия безупречного исполнения🛡️


  • Задача 1.
а) Смоделировать выборку следующим образом: на листе бумаги нарисовать параллельные линии на расстоянии в диаметр пятирублевой монеты. Подбрасывая n=25 раз монету, измерить с точностью до миллиметра длину накрываемого монетой отрезка (см. рис.). Для полученной в результате эксперимента выборки, построить вариационный ряд, найти теоретическую функцию распределения F(x) длины накрываемого отрезка и эмпирическую функцию распределения Fn(х) и построить их графики в одной и той же системе координат, найти выборочное среднее и выборочную дисперсию. б) Смоделировать выборку объема n=250 используя таблицы Ехсеl. Воспользоваться методом обратной функции (функция распределения Xi имеет вид F(t)=P(Xi<t)=1-√(1-t2/d2) и теоретической функции распределения F(t).
Сравнить графики а) и б) и сделать вывод.
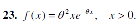
  • Задача 2. По выборке x1,x2..xn найти методом моментов выражения для точечных оценок параметров, если плотность распределения имеет вид:
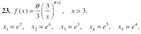
  • Задача 3. По выборке x1,x2..xn найти общий вид оценки максимального правдоподобия и подсчитать ее конкретное значение для приведенных данных:
  • Задача 4. Выборка Х1,...,Х25 получена из нормального распределения. Найти симметричные доверительные интервалы с уровнем доверия γ=0,95 для среднего значения и дисперсии (используя информацию об известном втором параметре и не используя эту информацию).
  • Задача 5. В условиях задачи 1 найти теоретическое среднее значение наблюдаемой случайной величины. По экспериментальным данным для первой и второй выборок построить приближенный доверительный интервал для математического ожидания с уровнем доверия γ=0,9.
  • Задача 6. Построить приближенный доверительный интервал с уровнем доверия γ=0,99 для параметра p - вероятность «успеха» в схеме Бернулли при условии, что в серии из n испытаний наблюдалось m «успехов».

Файлы условия, демо

Характеристики домашнего задания

Учебное заведение
Номер задания
Вариант
Программы
Просмотров
14
Качество
Идеальное компьютерное
Размер
812,6 Kb

Список файлов

Вариант (23) - Задача 1.xlsx
Вариант (23) - 2. Математическая статистика.pdf
4а и 6. Значения функции Ф(x) стандартного нормального распределения.pdf
4б и 5. Распределение Стьюдента.pdf
4в и 4г. Критические точки распределения χ2.pdf
Картинка-подпись
Если вам всё понравилось, поставьте оценку и напишите пару слов о работе - так вы поможете другим покупателям. В благодарность мы вернём вам 40 рублей на счёт.❤️

Комментарии

Нет комментариев
Стань первым, кто что-нибудь напишет!
Поделитесь ссылкой:
Цена: 700 340 руб.
Расширенная гарантия +3 недели гарантии, +10% цены
Рейтинг покупателей
5 из 5
Поделитесь ссылкой:
Сопутствующие материалы

Подобрали для Вас услуги

Вы можете использовать домашнюю работу для примера, а также можете ссылаться на неё в своей работе. Авторство принадлежит автору работы, поэтому запрещено копировать текст из этой работы для любой публикации, в том числе в свою домашнюю работу в учебном заведении, без правильно оформленной ссылки. Читайте как правильно публиковать ссылки в своей работе.
Свежие статьи
Популярно сейчас
Зачем заказывать выполнение своего задания, если оно уже было выполнено много много раз? Его можно просто купить или даже скачать бесплатно на СтудИзбе. Найдите нужный учебный материал у нас!
Ответы на популярные вопросы
Да! Наши авторы собирают и выкладывают те работы, которые сдаются в Вашем учебном заведении ежегодно и уже проверены преподавателями.
Да! У нас любой человек может выложить любую учебную работу и зарабатывать на её продажах! Но каждый учебный материал публикуется только после тщательной проверки администрацией.
Вернём деньги! А если быть более точными, то автору даётся немного времени на исправление, а если не исправит или выйдет время, то вернём деньги в полном объёме!
Да! На равне с готовыми студенческими работами у нас продаются услуги. Цены на услуги видны сразу, то есть Вам нужно только указать параметры и сразу можно оплачивать.
Отзывы студентов
Ставлю 10/10
Все нравится, очень удобный сайт, помогает в учебе. Кроме этого, можно заработать самому, выставляя готовые учебные материалы на продажу здесь. Рейтинги и отзывы на преподавателей очень помогают сориентироваться в начале нового семестра. Спасибо за такую функцию. Ставлю максимальную оценку.
Лучшая платформа для успешной сдачи сессии
Познакомился со СтудИзбой благодаря своему другу, очень нравится интерфейс, количество доступных файлов, цена, в общем, все прекрасно. Даже сам продаю какие-то свои работы.
Студизба ван лав ❤
Очень офигенный сайт для студентов. Много полезных учебных материалов. Пользуюсь студизбой с октября 2021 года. Серьёзных нареканий нет. Хотелось бы, что бы ввели подписочную модель и сделали материалы дешевле 300 рублей в рамках подписки бесплатными.
Отличный сайт
Лично меня всё устраивает - и покупка, и продажа; и цены, и возможность предпросмотра куска файла, и обилие бесплатных файлов (в подборках по авторам, читай, ВУЗам и факультетам). Есть определённые баги, но всё решаемо, да и администраторы реагируют в течение суток.
Маленький отзыв о большом помощнике!
Студизба спасает в те моменты, когда сроки горят, а работ накопилось достаточно. Довольно удобный сайт с простой навигацией и огромным количеством материалов.
Студ. Изба как крупнейший сборник работ для студентов
Тут дофига бывает всего полезного. Печально, что бывают предметы по которым даже одного бесплатного решения нет, но это скорее вопрос к студентам. В остальном всё здорово.
Спасательный островок
Если уже не успеваешь разобраться или застрял на каком-то задание поможет тебе быстро и недорого решить твою проблему.
Всё и так отлично
Всё очень удобно. Особенно круто, что есть система бонусов и можно выводить остатки денег. Очень много качественных бесплатных файлов.
Отзыв о системе "Студизба"
Отличная платформа для распространения работ, востребованных студентами. Хорошо налаженная и качественная работа сайта, огромная база заданий и аудитория.
Отличный помощник
Отличный сайт с кучей полезных файлов, позволяющий найти много методичек / учебников / отзывов о вузах и преподователях.
Отлично помогает студентам в любой момент для решения трудных и незамедлительных задач
Хотелось бы больше конкретной информации о преподавателях. А так в принципе хороший сайт, всегда им пользуюсь и ни разу не было желания прекратить. Хороший сайт для помощи студентам, удобный и приятный интерфейс. Из недостатков можно выделить только отсутствия небольшого количества файлов.
Спасибо за шикарный сайт
Великолепный сайт на котором студент за не большие деньги может найти помощь с дз, проектами курсовыми, лабораторными, а также узнать отзывы на преподавателей и бесплатно скачать пособия.
Популярные преподаватели
Добавляйте материалы
и зарабатывайте!
Продажи идут автоматически
6967
Авторов
на СтудИзбе
263
Средний доход
с одного платного файла
Обучение Подробнее
{user_main_secret_data}