Для студентов МГТУ им. Н.Э.Баумана по предмету Теория вероятностей и математическая статистика (ТВиМС)Вариант 1 - ДЗ №1 - 9 задачВариант 1 - ДЗ №1 - 9 задач
5,005101
2021-10-122024-09-04СтудИзба
ДЗ 1: Вариант 1 - ДЗ №1 - 9 задач вариант 1
-43%
Описание
Типовой расчет №1 по теории вероятностей, 9 задач, зачтено на максимум
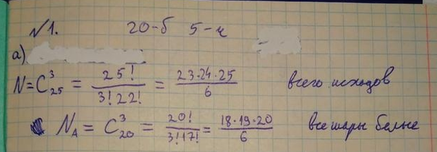
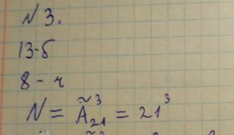
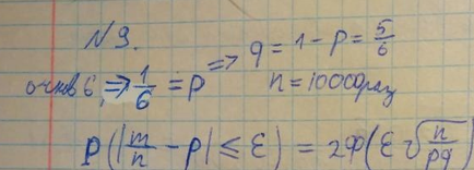
Условия и примеры решения:
![]()
Условия и примеры решения:









Характеристики домашнего задания
Учебное заведение
Номер задания
Вариант
Программы
Просмотров
112
Качество
Фото рукописных листов
Размер
825,73 Kb
Список файлов
тервер 1.docx

Спасибо за покупку! Я буду очень рад, если поставишь справедливую оценку купленному файлу :3 Ищи больше работ в моём профиле, там много нужного тебе!
Комментарии

Отзыв
отлично