ДЗ 3: Случайные величины вариант 18

-51%

Описание

  • ⭐Полностью готовая работа в идеальном компьютерном качестве⭐
  • 💎️100 % гарантия безупречного исполнения💎


  • Задача 1. МНОГОМЕРНОЕ НОРМАЛЬНОЕ РАСПРЕДЕЛЕНИЕ
Случайный вектор (ξ, η) распределен но нормальному закону N(m, Σ). Запишите функцию плотности fξη(x,y) и найдите: а) плотности вероятностей fξ(x) и fη(x); б) коэффициент корреляции rξη; в) плотность случайной величины ζ=aξ+bη. Постройте графики найденных функций.
  • Задача 2. ФУНКЦИИ СЛУЧАЙНЫХ ВЕЛИЧИН
Вариант 18. Измеренное значение стороны квадрата — случайная величина X, распределенная по закону
Найти плотность f(y) распределения вероятностей площади квадрата.
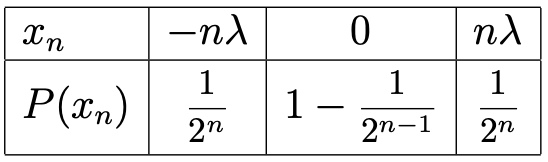
  • Задача З. ЗАКОН БОЛЬШИХ ЧИСЕЛ
Вариант 18. Дана последовательность независимых случайных величин Случайная величина ξn задана следующим образом:
Можно ли применить к данной последовательности закон больших чисел?
Показать/скрыть дополнительное описание

ИУ1, ИУ2, 4-й семестр, 2022—2023 уч.г. Теория вероятностей и математическая статистика Модуль З, домашнее задание «Случайные величины»..

Файлы условия, демо

Характеристики домашнего задания

Учебное заведение
Номер задания
Вариант
Программы
Теги
Просмотров
2138
Качество
Идеальное компьютерное
Размер
651,39 Kb

Список файлов

Вариант (18) - Задача 1.pdf
Вариант (18) - Задачи 2,3.docx
Картинка-подпись
Если вам всё понравилось, поставьте оценку и напишите пару слов о работе - так вы поможете другим покупателям. В благодарность мы вернём вам 40 рублей на счёт.❤️

Комментарии

Нет комментариев
Стань первым, кто что-нибудь напишет!
Поделитесь ссылкой:
Цена: 700 340 руб.
Расширенная гарантия +3 недели гарантии, +10% цены
Рейтинг покупателей
5 из 5
Поделитесь ссылкой:
Сопутствующие материалы
-66%
Дифференциальные уравнения высших порядков
Задача 701 - Вычислите количество теплоты, выделяющееся при полном сгорании указанного количества вещества при стандартном давлении и температуре 298 К. Учтите, что в продуктах сгорания углерод находится в виде углекислого газа, водород — водяного па
Задача 7 - По заданным координатам атома (период, группа) найдите элемент в Периодической системе, составьте полную электронную формулу атома, изобразите распределение электронов по энергетическим ячейкам, укажите, диамагнитными или парамагнитными с
Задача 95 - Используя метод молекулярных орбиталей, изобразите энергетическую диаграмму и объясните различную длину связи в молекулах и молекулярных ионах.
Подберите коэффициенты к уравнениям окислительно-восстановительных реакций.
-40%
Задача 376

Подобрали для Вас услуги

-25%
-55%
Вы можете использовать домашнюю работу для примера, а также можете ссылаться на неё в своей работе. Авторство принадлежит автору работы, поэтому запрещено копировать текст из этой работы для любой публикации, в том числе в свою домашнюю работу в учебном заведении, без правильно оформленной ссылки. Читайте как правильно публиковать ссылки в своей работе.
Свежие статьи
Популярно сейчас
Как Вы думаете, сколько людей до Вас делали точно такое же задание? 99% студентов выполняют точно такие же задания, как и их предшественники год назад. Найдите нужный учебный материал на СтудИзбе!
Ответы на популярные вопросы
Да! Наши авторы собирают и выкладывают те работы, которые сдаются в Вашем учебном заведении ежегодно и уже проверены преподавателями.
Да! У нас любой человек может выложить любую учебную работу и зарабатывать на её продажах! Но каждый учебный материал публикуется только после тщательной проверки администрацией.
Вернём деньги! А если быть более точными, то автору даётся немного времени на исправление, а если не исправит или выйдет время, то вернём деньги в полном объёме!
Да! На равне с готовыми студенческими работами у нас продаются услуги. Цены на услуги видны сразу, то есть Вам нужно только указать параметры и сразу можно оплачивать.
Отзывы студентов
Ставлю 10/10
Все нравится, очень удобный сайт, помогает в учебе. Кроме этого, можно заработать самому, выставляя готовые учебные материалы на продажу здесь. Рейтинги и отзывы на преподавателей очень помогают сориентироваться в начале нового семестра. Спасибо за такую функцию. Ставлю максимальную оценку.
Лучшая платформа для успешной сдачи сессии
Познакомился со СтудИзбой благодаря своему другу, очень нравится интерфейс, количество доступных файлов, цена, в общем, все прекрасно. Даже сам продаю какие-то свои работы.
Студизба ван лав ❤
Очень офигенный сайт для студентов. Много полезных учебных материалов. Пользуюсь студизбой с октября 2021 года. Серьёзных нареканий нет. Хотелось бы, что бы ввели подписочную модель и сделали материалы дешевле 300 рублей в рамках подписки бесплатными.
Отличный сайт
Лично меня всё устраивает - и покупка, и продажа; и цены, и возможность предпросмотра куска файла, и обилие бесплатных файлов (в подборках по авторам, читай, ВУЗам и факультетам). Есть определённые баги, но всё решаемо, да и администраторы реагируют в течение суток.
Маленький отзыв о большом помощнике!
Студизба спасает в те моменты, когда сроки горят, а работ накопилось достаточно. Довольно удобный сайт с простой навигацией и огромным количеством материалов.
Студ. Изба как крупнейший сборник работ для студентов
Тут дофига бывает всего полезного. Печально, что бывают предметы по которым даже одного бесплатного решения нет, но это скорее вопрос к студентам. В остальном всё здорово.
Спасательный островок
Если уже не успеваешь разобраться или застрял на каком-то задание поможет тебе быстро и недорого решить твою проблему.
Всё и так отлично
Всё очень удобно. Особенно круто, что есть система бонусов и можно выводить остатки денег. Очень много качественных бесплатных файлов.
Отзыв о системе "Студизба"
Отличная платформа для распространения работ, востребованных студентами. Хорошо налаженная и качественная работа сайта, огромная база заданий и аудитория.
Отличный помощник
Отличный сайт с кучей полезных файлов, позволяющий найти много методичек / учебников / отзывов о вузах и преподователях.
Отлично помогает студентам в любой момент для решения трудных и незамедлительных задач
Хотелось бы больше конкретной информации о преподавателях. А так в принципе хороший сайт, всегда им пользуюсь и ни разу не было желания прекратить. Хороший сайт для помощи студентам, удобный и приятный интерфейс. Из недостатков можно выделить только отсутствия небольшого количества файлов.
Спасибо за шикарный сайт
Великолепный сайт на котором студент за не большие деньги может найти помощь с дз, проектами курсовыми, лабораторными, а также узнать отзывы на преподавателей и бесплатно скачать пособия.
Популярные преподаватели
Добавляйте материалы
и зарабатывайте!
Продажи идут автоматически
7209
Авторов
на СтудИзбе
249
Средний доход
с одного платного файла
Обучение Подробнее