Ответы к экзамену: Теория вероятностей и математическая статистика
-42%
Описание
🙋♂️🙋♂️🙋♂️ Коллекция ответов на 90 % Теория вероятностей и математическая статистика итоговый тест 20 вопросов ВУЗ ПРОМЕТЕЙ
👑👑👑 Огромная база ответов по множеству предметов.
♥️ В том числе есть услуга сдачи отдельных предметов и сессий в целом!!!!!!!!!!!!
♥️ Благодарю за покупку!
♥️ ОБРАЩАйТЕСЬ (Для быстрого поиска вопроса используйте Ctrl+F).
👑👑👑 Огромная база ответов по множеству предметов. ♥️ В том числе есть услуга сдачи отдельных предметов и сессий в целом!!!!!!!!!!!!
♥️ Благодарю за покупку!
♥️ ОБРАЩАйТЕСЬ (Для быстрого поиска вопроса используйте Ctrl+F).
Список вопросов
Значение 6 ! / A710 ( C57 + C37 ) равно:
Плотность равномерного распределения дана формулой: f(x)=1/(b−a) , если a ≤ x ≤ b, f(x)=0, если x < 0 и x > b. Тогда математическое ожидание случайной величины с таким распределением равно:
Если в схеме Бернулли p — малая величина и λ = np, то вероятность Pn;m того, что при n испытаниях событие А произойдёт m раз, можно найти по приближённой формуле:
![]()

Пусть в группе 15 студентов, 8 из них вышли из аудитории на перерыв. Тогда для подсчёта числа возможных групп из 15 по 8 необходимо составлять:
Вариационный ряд — это:
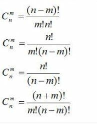
Число сочетаний из n элементов по m вычисляется по формуле:
![]()

При каком значения линейного коэффициента корреляции между признаками связь можно считать самой сильной:
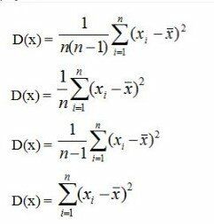
Дана выборка X = (x1, x2,...xn). Несмещенную оценку дисперсии этой выборки можно найти по формуле:
![]()

Значение 1 / A420 ( A620 + A520 ) равно:
Выборка задана в виде распределения частот:Тогда среднее значение выборки равно: ![]()

Выборочная средняя распределения (ni - частота) равна:
![]()

Случайная величина, распределена по показательному закону f(x)=λe-λx. Произведена выборка, среднее значение которой равно 10. Тогда параметр λ оценивается числом:
Чему равно среднее квадратическое отклонение случайной величины X, если случайная величина X характеризуется рядом распределения:
Дисперсия случайной величины X определяется формулой:
Сочетаниями из n элементов по m в каждом называются такие комбинации,
Коэффициент корреляции двух случайных величин X и Y принимает значения:
Магазин при осмотре партии товара А обнаружил в этой партии 2 % брака. Средняя арифметическая числа альтернативного признака (бракованного товара) равна:
Вероятность того, что при n испытаниях событие A произойдет m раз, определяется по формуле Бернулли (q=1−p):
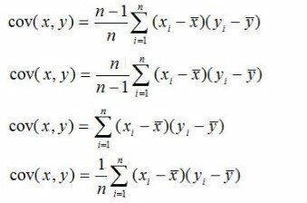
Ковариация между выборками x=(x1,x2,...,xn) и y=(y1,y2,...,yn) вычисляется по формуле:
![]()

Выборка задана в виде распределения частот:
Тогда медиана этого вариационного ряда равна
![]()
Тогда медиана этого вариационного ряда равна

Характеристики ответов (шпаргалок) к экзамену
Комментарии
Нет комментариев
Стань первым, кто что-нибудь напишет!
ИДДО НИУ «МЭИ»
akop
















