Для студентов НИУ «МЭИ» по предмету Теория вероятностей и математическая статистика (ТВиМС)КМ-4.КМ-4.
2022-11-252022-11-25СтудИзба
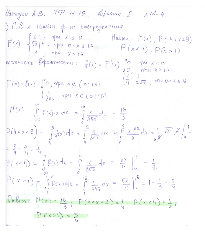
Ответы к контрольной работе 4: КМ-4. вариант 2
Описание
Характеристики ответов (шпаргалок) к КР
Учебное заведение
Семестр
Номер задания
Вариант
Просмотров
58
Качество
Скан рукописных листов
Размер
2,71 Mb
Список файлов

Вам все понравилось? Получите кэшбэк - 40 рублей на Ваш счёт при покупке. Поставьте оценку и напишите положительный комментарий к купленному файлу. После Вы получите деньги на ваш счет.