ДЗ: ТММ 2 Силовой расчет вариант 20
Описание
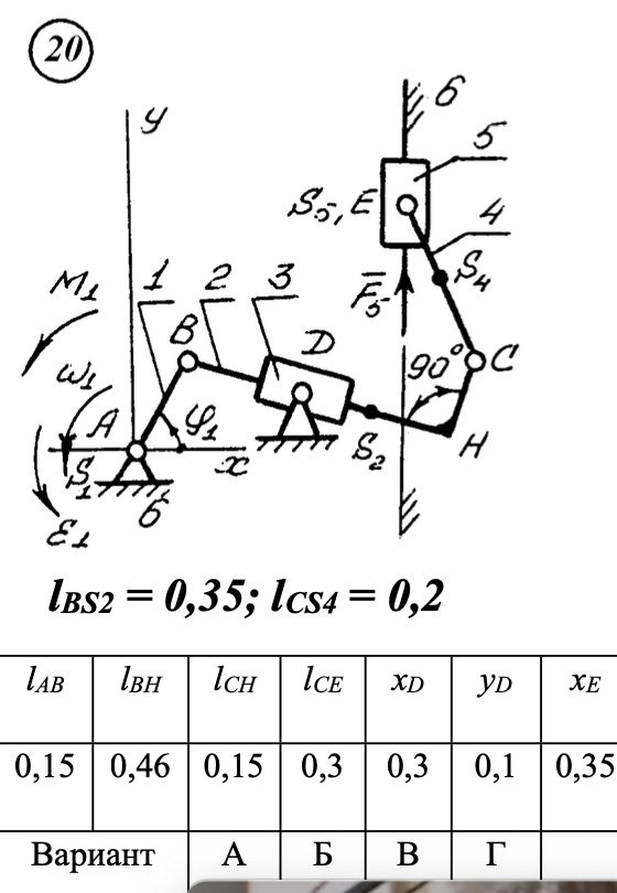
Угол 335 градусов ![]()

Характеристики домашнего задания
Учебное заведение
Семестр
Вариант
Просмотров
85
Размер
3,62 Mb
Список файлов
Комментарии
Нет комментариев
Стань первым, кто что-нибудь напишет!
МГТУ им. Н.Э.Баумана



















