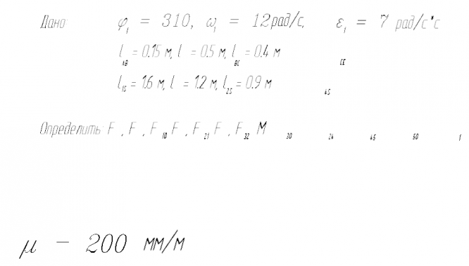
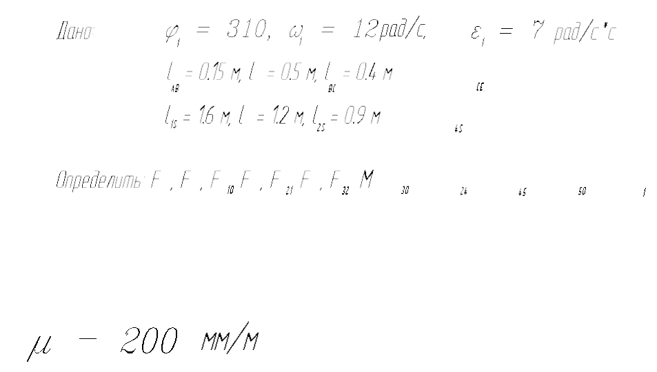
Для студентов МГТУ им. Н.Э.Баумана по предмету Теория механизмов и машин (ТММ)Типовой расчёт 1 и 2, Фи = 310Типовой расчёт 1 и 2, Фи = 310
4,78522263
2013-10-052013-10-05СтудИзба
ДЗ: Типовой расчёт 1 и 2, Фи = 310 вариант 19
Описание
Характеристики домашнего задания
Учебное заведение
Семестр
Вариант
Просмотров
1011
Качество
Идеальное компьютерное
Размер
223,88 Kb
Список файлов
19
19а
19var-310_1,2dz
19var_1,2dz-310.dwg
zashita_2.dwg

Зарабатывай на студизбе! Просто выкладывай то, что так и так делаешь для своей учёбы: ДЗ, шпаргалки, решённые задачи и всё, что тебе пригодилось.
Начать зарабатывать
Начать зарабатывать