Для студентов МГТУ им. Н.Э.Баумана по предмету Теория функций комплексного переменного (ТФКП)Теория функций комплексного переменногоТеория функций комплексного переменного
5,0052
2022-11-022022-11-02СтудИзба
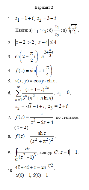
ДЗ 1: Теория функций комплексного переменного вариант 2
Описание
В конце файла исправленные задачи по замечаниям преподавателя (№6,8,9)
![]()

Характеристики домашнего задания
Учебное заведение
Семестр
Номер задания
Вариант
Теги
Просмотров
40
Размер
8,05 Mb
Список файлов
ТР РК9 2 вариант ТФКП.docx
МГТУ им. Н.Э.Баумана


















