Для студентов МГТУ им. Н.Э.Баумана по предмету Теория функций комплексного переменного (ТФКП)Ряды ФурьеРяды Фурье
5,0056
2022-03-012025-02-11СтудИзба
ДЗ 3: Ряды Фурье вариант 4
-43%
Описание
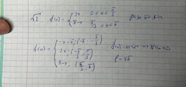
Типовой расчет по ТФКП "Ряды Фурье", 2 задачи, зачтен на максимальный балл
![]()


Характеристики домашнего задания
Учебное заведение
Семестр
Номер задания
Вариант
Просмотров
129
Размер
698,25 Kb
Список файлов
Вариант 4 ТФКП Фурье 21.pdf

Спасибо за покупку! Я буду очень рад, если поставишь справедливую оценку купленному файлу :3 Ищи больше работ в моём профиле, там много нужного тебе!