Для студентов МГТУ им. Н.Э.Баумана по предмету Теория функций комплексного переменного (ТФКП)Операционное исчислениеОперационное исчисление
5,0051
2021-06-052021-06-05СтудИзба
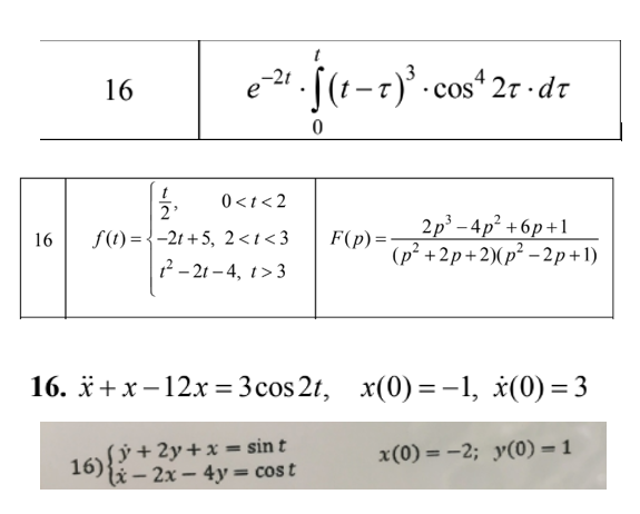
ДЗ 2: Операционное исчисление вариант 16
Описание

Характеристики домашнего задания
Учебное заведение
Семестр
Номер задания
Вариант
Теги
Просмотров
31
Качество
Скан рукописных листов
Размер
932,42 Kb
Список файлов
ОИ 16 вариант.pdf
elfly
Комментарии
Нет комментариев
Стань первым, кто что-нибудь напишет!
МГТУ им. Н.Э.Баумана
elf ly

















