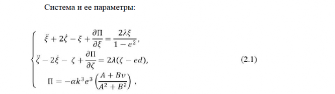
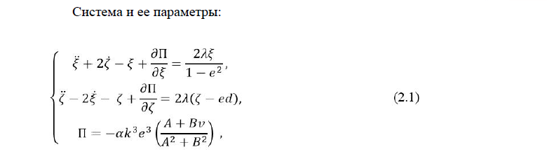
Для студентов МГТУ им. Н.Э.Баумана по предмету Теория функций комплексного переменного (ТФКП)Качественное исследование решений системы дифференциальных уравнений специального вида с дополнительным условием в фазовой плоскости (k = 1.5, v = (0,Качественное исследование решений системы дифференциальных уравнений специального вида с дополнительным условием в фазовой плоскости (k = 1.5, v = (0,
4,8858632
2021-03-242021-03-24СтудИзба
Качественное исследование решений системы дифференциальных уравнений специального вида с дополнительным условием в фазовой плоскости (k = 1.5, v = (0,1), d = 0, d = -0.2, alpha = 0.(77), e = 0.4)
Описание
Характеристики курсовой работы
Учебное заведение
Семестр
Просмотров
6
Размер
1,03 Mb
Список файлов
Качественное исследование решений системы ДУ (k = 1.5, v = (0,1), d = 0, d = -0.2, alpha = 0.(77), e = 0.4).pdf

НОВИНКА: отчеты по практикам! Поиск - по названию предприятия в тэге. База учебных материалов МГТУ им. Н.Э. Баумана в формате pdf, оригиналы файлов отсутствуют (если иное не оговорено в описании). Вопросы задавайте ДО покупки в комментариях под файлами.