Для студентов НГТУ по предмету Теория электрических цепей (ТЭЦ)44
4,92522943
2021-08-192021-08-19СтудИзба
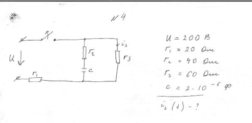
Задача: 4
Описание

Характеристики решённой задачи
Учебное заведение
Семестр
Просмотров
5
Качество
Фото рукописных листов
Размер
35,36 Kb
Список файлов
4.jpg

Вам все понравилось? Получите кэшбэк - 40 рублей на Ваш счёт при покупке. Поставьте оценку и напишите положительный комментарий к купленному файлу. После Вы получите деньги на ваш счет.