Для студентов НГТУ по предмету Теория электрических цепей (ТЭЦ)2.42.4
4,92522931
2021-08-192021-08-19СтудИзба
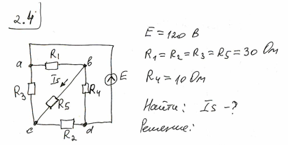
Задача: 2.4
Описание

Характеристики решённой задачи
Учебное заведение
Семестр
Просмотров
3
Качество
Скан рукописных листов
Размер
136,53 Kb
Список файлов
2
2.4.jpg

Вам все понравилось? Получите кэшбэк - 40 рублей на Ваш счёт при покупке. Поставьте оценку и напишите положительный комментарий к купленному файлу. После Вы получите деньги на ваш счет.