Для студентов НГТУ по предмету Теория электрических цепей (ТЭЦ)1.401.40
4,92522931
2021-08-192021-08-19СтудИзба
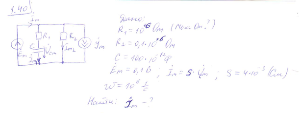
Задача: 1.40
Описание

Характеристики решённой задачи
Учебное заведение
Семестр
Просмотров
4
Качество
Скан рукописных листов
Размер
85,4 Kb
Список файлов
1
1.40.jpg

Вам все понравилось? Получите кэшбэк - 40 рублей на Ваш счёт при покупке. Поставьте оценку и напишите положительный комментарий к купленному файлу. После Вы получите деньги на ваш счет.