УрФУ им. Ельцина, Основы теории автоматического управления. Контрольная работа. Часть 1, Вариант 6
Описание
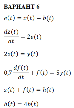
Вариант 6
Основы теории автоматического управления. Контрольная работа. Часть 1
Составить структурную схему системы по заданным уравнениям (входная величина - x, выходная величина y). Схема должна соответствовать исходным уравнениям без преобразования уравнений путём подстановки переменных. Все звенья на исходной структурной схеме должны быть реальными (правило m<=n). После составления исходной схемы она преобразуется к одному звену (на входе x, на выходе y). В решении должны быть показаны все этапы преобразования. В Simulink собирается исходная модель системы (структурная схема до преобразований), а также делается звено с передаточной функцией всей системы. На обе модели подаётся ступенчатое воздействие. Процессы y(t) в этих моделях должны совпадать (вид процесса значения не имеет). На проверку сдаётся преобразование структурной схемы и модель Simulink.
УрФУ им. Ельцина, Основы теории автоматического управления. Контрольная работа. Часть 1. Составить структурную схему системы по заданным уравнениям (входная величина - x, выходная величина y). Схема должна соответствовать исходным уравнениям без преобразования уравнений путём подстановки переменных. Все звенья на исходной структурной схеме должны быть реальными (правило m<=n). После составления исходной схемы она преобразуется к одному звену (на входе x, на выходе y). В решении должны быть показаны все этапы преобразования. В Simulink собирается исходная модель системы (структурная схема до преобразований), а также делается звено с передаточной функцией всей системы.
На обе модели подаётся ступенчатое воздействие. Процессы y(t) в этих моделях должны совпадать (вид процесса значения не имеет). На проверку сдаётся преобразование структурной схемы и модель Simulink..
УрФУ им. Ельцина
Gabriel















