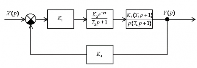
Для студентов по предмету Теория автоматического управления (ТАУ)Рассчитать устойчивость системы, используя алгебраические и частотные критерии устойчивости. K1K2K3K4T1T2T3T4τ 105,51,50,750,010,51,5100,005Рассчитать устойчивость системы, используя алгебраические и частотные критерии устойчивости. K1K2K3K4T1T2T3T4τ 105,51,50,750,010,51,5100,005
5,00517926
2023-01-202023-01-20СтудИзба
Рассчитать устойчивость системы, используя алгебраические и частотные критерии устойчивости. K1K2K3K4T1T2T3T4τ 105,51,50,750,010,51,5100,005
Описание
Рассчитать устойчивость системы, используя алгебраические и частотные критерии устойчивости.
K1 | K2 | K3 | K4 | T1 | T2 | T3 | T4 | τ |
10 | 5,5 | 1,5 | 0,75 | 0,01 | 0,5 | 1,5 | 10 | 0,005 |
Файлы условия, демо
Характеристики решённой задачи
Программы
Просмотров
2
Качество
Идеальное компьютерное
Размер
113,61 Kb
Список файлов
РГР ТАУ №2.docx
