🌞Теоретические основы электротехники.ти_ФРК (3/3)
Описание
Теоретические основы электротехники.ти_ФРК (3/3)
УЧЕБНЫЕ МАТЕРИАЛЫ
Тема 1. Нелинейные электрические цепи постоянного тока
Тема 1. Практическое занятие 1. Расчет нелинейных цепей постоянного тока
Тема 1. Практическое занятие 2. Построение вольтамперной характеристики для нелинейных цепей
Тема 2. Магнитные цепи
Тема 2. Практическое занятие 3. Расчет неразветвленной магнитной цепи
Тема 2. Практическое занятие 4. Расчет разветвленной магнитной цепи методом двух узлов
Тема 2. Практическое занятие 5. Расчет катушки с ферромагнитным сердечником
Тема 3. Цепи с распределенными параметрами
Тема 3. Практическое занятие 6. Расчет двухпроводной линии с малыми потерями
Тема 3. Практическое занятие 7. Примеры расчета коаксиального кабеля
Тема 4. Теория электромагнитного поля
Тема 4. Практическое занятие 8. Расчет электростатических полей
Тема 4. Практическое занятие 9. Расчет стационарных электрических полей
Тема 4. Практическое занятие 10. Расчет магнитных полей
Тема 4. Практическое занятие 11. Использование уравнения Лапласа и Пуассона. Зеркальные изображения и другие приемы
Тема 4. Практическое занятие 12. Расчет энергии и силы в магнитном поле
Какой из перечисленных видов стабилизаторов напряжения и тока не существует на практике?
Линейный стабилизатор с током до 10 А и входным напряжением до 40 В
Линейный стабилизатор с током до 1 мА и входным напряжением до 4 В
Импульсный понижающий стабилизатор с высоким входным напряжением
Импульсный повышающий стабилизатор с низким входным напряжением
На рисунке представлена формула для расчета…
статического сопротивления нелинейного элемента
дифференциального сопротивления нелинейного элемента
активного сопротивления нелинейного элемента
реактивного сопротивления нелинейного элемента
… в общем случае называют совокупность катушек с током, ферромагнитных тел или каких-либо иных тел (сред), по которым замыкается магнитный поток.
Электрической цепью
Магнитной цепью
Электромагнитом
Постоянным магнитом
Напряжение в разных точках системы нельзя регулировать …
изменением возбуждения генераторов
изменением коэффициентов трансформации трансформаторов
с помощью автоматизации потерь напряжения
с помощью компенсирующих установок
Цепи, в которых параметры цепи – сопротивление, проводимость, индуктивность, емкость – были сосредоточены на отдельных участках цепи, называются…
электрическими цепями
магнитными цепями
цепями со сосредоточенными параметрами
цепями с распределенными параметрами
…имеет место при передаче энергии постоянным током на сверхдальние расстояния и в устройствах электроснабжения железных дорог постоянного тока при рекуперативном торможении ЭПС (электрического подвижного состава).
Стабилизация
Выпрямление
Инвертирование
Генерирование
Индукционные установки повышенной частоты питаются от специальных агрегатов, предназначенных для преобразования...
трехфазного тока промышленной частоты в однофазный ток повышенной частоты
однофазного тока повышенной частоты в трехфазный ток промышленной частоты
постоянного тока в переменный
переменного тока в постоянный
На рисунке буквой L0 обозначена…
индуктивность цепи, определяемая магнитным потоком, который сцепляется с контуром тока, образуемым токоведущими проводами
поперечная проводимость или проводимость утечки, вызванная несовершенством изоляции проводов
емкость цепи, обусловленная емкостью проводов по отношению к земле
емкость цепи, обусловленная емкостью между проводами
На изображении сопротивления, обозначенные Z1, Z2, Z3 , являются … сопротивлениями.
продольными
поперечными
активными
реактивными
Примерами цепей с распределенными параметрами являются …
линии электропередач и высокочастотные коаксиальные линии радиотехнических и телевизионных устройств
линии электропередач и высокочастотные коаксиальные линии радиотехнических и телевизионных устройств, обмотки трансформаторов и электрических машин при воздействии на них импульсных токов и напряжений
высокочастотные коаксиальные линии радиотехнических и телевизионных устройств
обмотки трансформаторов и электрических машин при воздействии на них импульсных токов и напряжений
На рисунке представлена формула для расчета…
статического сопротивления нелинейного элемента
дифференциального сопротивления нелинейного элемента
активного сопротивления нелинейного элемента
реактивного сопротивления нелинейного элемента
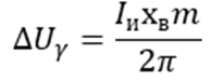
На рисунке представлена формула …
разности напряжений на входе и выходе схемы при инвертировании
напряжения инвертирования
результирующего инвертированного напряжения
среднего значения коммутационных потерь при инвертировании
Количественная связь между линейным интегралом от вектора напряженности магнитного поля H ⃗ вдоль любого произвольного контура и алгебраической суммой токов ∑I, охваченных этим контуром, определяется законом …
непрерывности
магнитного потока Кирхгофа
полного тока
Ома
Соотношение на рисунке выражает закон …
Джоуля-Ленца в интегральной форме
Джоуля-Ленца в дифференциальной форме
Лапласа-Пуассона
Максвелла
Все вещества по их магнитным свойствам подразделяются на…
диамагнитные, парамагнитные, ферромагнитные
ферромагнитные, ферримагнитные и антиферромагнитные
магнитные и немагнитные
диамагнитные, парамагнитные, ферромагнитные, ферримагнитные и антиферромагнитные
… материалы легко перемагничиваются в переменном магнитном поле, поэтому из них изготовляют сердечники и магнитопроводы для электрических машин, трансформаторов и электромагнитов.
Магнитные
Ферромагнитные
Магнито-мягкие
Магнито-твердые
По частоте потребляемого тока индукционные установки подразделяют на установки...
низкочастотные, высокочастотные и сверхвысокочастотные
ультранизкочастотные, низкочастотные и высокочастотные
промышленной, повышенной и высокой частоты
повышенной и высокой частоты
… основан на поглощении ими электромагнитной энергии, возникновении наведенных вихревых токов, нагревающих тело по закону Джоуля-Ленца.
Диэлектрический нагрев проводящих тел
Сверхпроводящий нагрев тел
Конденсаторный нагрев проводящих тел
Индукционный нагрев проводящих тел
Уравнения на рисунке называются…
телеграфными уравнениями
уравнениями распределенной линии
законами Кирхгофа
законами длинных линий
Катушку индуктивности, включаемую в цепь с целью ограничения силы переменного тока или предохранения цепи постоянного тока от появления в ней составляющей переменного тока, называют…
ферромагнитной катушкой
ферромагнитным трансформатором
электрическим дросселем
магнитной катушкой
… определяют как силу, с которой электрическое поле действует на точечный положительный единичный заряд.
Напряженность электрического поля Е
Напряжение поля U
Магнитную индукцию B
Силу Кулона
Линия является …, если в произвольном поперечном сечении параметры среды неизменны.
однородной
Чаще всего для расчета нелинейных электрических цепей постоянного тока используют … методы.
графические, аналитические и графо-аналитические
итерационные и логарифмические
математические и аналитические
графические в 2D и логарифмические
В том случае, если коэффициент отражения равен единице, то есть при равенстве амплитуд отраженной и падающей волн, в линии возникают … волны напряжения и тока.
отраженные
прямые
стоячие
бегущие
В цепях … ток и напряжение являются функциями только одной переменной – времени.
со сосредоточенными параметрами
с распределенными параметрами
с электрическими параметрами
с магнитными параметрами
Для решения «прямой» задачи для неразветвленной магнитной цепи в первую очередь необходимо …
исходя из постоянства магнитного потока вдоль всей цепи, определить значения индукции для каждого участка
наметить среднюю линию, которая затем делится на участки с одинаковым сечением магнитопровода
определить искомую намагничивающую силу путем суммирования падений магнитного напряжения вдоль контура
найти напряженности на ферромагнитных участках
Линию с распределенными параметрами называют однородной, если …
равны друг другу все продольные сопротивления участков линии одинаковой длины и если равны друг другу все поперечные сопротивления участков линии одинаковой длины
все поперечные и продольные сопротивления равны между собой
количество продольных сопротивлений равно количеству поперечных сопротивлений
равны друг другу все продольные сопротивления и если равны друг другу все поперечные сопротивления
«Обратная» задача для магнитной цепи решается… методом.
графическим
аналитическим
интегральным
итерационным
На рисунке представлена формула для силы… – полной силы, действующей на точечный заряд q, находящийся в электромагнитном поле.
Кулона
Лоренца
Ньютона
Максвелла
Величина под названием магнитная постоянная обозначается …
kм
kм
μа
μ0
В качестве примера … можно назвать электрическую линию передачи высокого напряжения при наличии между проводами линии тихого электрического разряда — явления короны на проводах.
Линия называется …, если в продольном направлении неизменны ее поперечное сечение, положение его в пространстве и электромагнитные свойства заполняющих ее сред.
однородной
неоднородной
нерегулярной
регулярной
… уравнение Максвелла – это обобщенный закон электромагнитной индукции, сформулированный Фарадеем: переменный магнитный поток Ф, пронизывающий контур, наводит в нем ЭДС е, равную скорости изменения потока.
На рисунке представлена формула…, которая характеризуется объемной плотностью, определенной как предел отношения.
объемного распределения зарядов
электромагнитной плотности
основного закона электромагнитного поля
закона Кулона
Величина магнитной индукции обозначается латинской буквой B и измеряется в …
Гн/м
а/м
Тл
Вб
Во всех ферромагнитных материалах наблюдается явление, известное под названием магнитного… Оно проявляется при намагничивании материала сначала в одном, а затем в противоположном направлении.
резонанса
гистерезиса
явления
электричества
На рисунке цифрой 1 обозначен …
индуктор
магнитный поток в нагреваемом теле
наведенный ток
воздушный зазор
… – это устройство, напряжение на выходе которого поддерживается постоянным или почти постоянным при изменении сопротивления нагрузки или напряжения на выходе устройства.
Стабилизатор тока
Стабилизатор напряжения
Выпрямитель
Инвертор
Под … характеристикой понимают зависимость потока Ф по какому-либо участку магнитной цепи от падения магнитного напряжения на этом участке: Ф = f (Uм).
вольт-амперной
ватт-амперной
вебер-амперной
магнитной
… с точки зрения электротехники представляет собой в большинстве случаев соленоид, имеющий один или несколько добавочных отводов от внутренних витков.
Индуктор
Радиатор
Редуктор
Генератор
На линии образуются узлы, то есть точки, в которых напряжение и ток равны нулю, и … – точки, в которых ток и напряжение максимальны.
антиузлы
дыры
пучности
экстремумы
Задача определения величины намагничивающей силы, необходимой для создания заданного магнитного потока (заданной магнитной индукции) на каком-либо участке магнитопровода, называется задачей…
синтеза или «прямой»
синтеза или «обратной»
анализа или «прямой»
анализа или «обратной»
В формуле величина, обозначенная p_i, является …
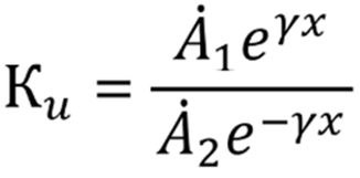
Отношение напряжения отраженной волны в конце линии к напряжению падающей волны в конце линии, формула которого представлена на изображении называют … коэффициентом
отражения по напряжению
отражения источника
падения по напряжению
падения источника
Магнитный поток Ф измеряется в …
системе СИ и выражается в веберах (Вб), а в системе СГСМ – в максвеллах (мкс)
системе СИ и выражается в вольтах (В), а в системе СГСМ – в максвеллах (мкс)
системе СИ и выражается в амперах (А), а в системе СГСМ – в микросекундах (мкс)
системе СИ и выражается в веберах (Вб), а в системе СГСМ – в микросекундах (мкс)
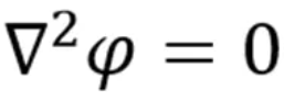
На рисунке представлено уравнение …
Джоуля
Пуассона
Максвелла
Лапласа
Выпрямитель, на выходе которого получают постоянное неизменяемое напряжение, называется…
неуправляемым
управляемым
преобразователем
усилителем
Из шести векторов Е, Р, D, В, М, Н, характеризующих электромагнитное поле, для его определения можно ограничиться нахождением только четырех векторов. Обычно в качестве таких векторов используют векторы...
Е, D, В, Н
Е, Р, D, В
D, В, М, Н
Р, D, В, М
Электрическая цепь, которая содержит…, называется нелинейной.
хотя бы один нелинейный элемент
как минимум два нелинейных элемента
нелинейные резистивный, емкостной и индуктивный элементы
хотя бы один нелинейный резистор
Задача нахождения потоков (магнитных индукций) на отдельных участках цепи по заданным значениям намагничивающей силы называется задачей…
Броневой тип сердечника трансформатора имеет … форму.
П-образную
Ш(Е)-образную
кольцо с сечением прямоугольной формы
круглую
Феррорезонанс … наблюдается в цепи с последовательным соединением нелинейной индуктивной катушки и конденсатора.
напряжений
токов
индуктивностей
мощности
Электрическими цепями с … называют цепи, в которых сопротивление, индуктивность, проводимость, емкость распределены вдоль линии.
Теория… или классическая теория электромагнитного поля учитывает только макроскопические свойства вещества: предполагается, что размеры рассматриваемой области пространства.
Кирхгофа
Максвелла
Ома
буравчика
Второй закон Кирхгофа для магнитной цепи гласит, что…
алгебраическая сумма магнитных потоков в любом узле магнитной цепи равна нулю
алгебраическая сумма падений магнитного напряжения вдоль любого замкнутого контура равна алгебраической сумме МДС, действующих вдоль того же контура
поток вектора магнитной индукции через замкнутую поверхность равен нулю
количественная связь между линейным интегралом от вектора напряженности магнитного поля вдоль любого произвольного контура и алгебраической суммой токов равна нулю
Вторичными или характеристическими параметрами линии являются …
коэффициент распространения β, коэффициент затухания β
волновое сопротивление α, коэффициент распространения α
волновое сопротивление ZВ, коэффициент распространения γ, коэффициент затухания α,
коэффициент фазы β коэффициент затухания α, коэффициент фазы β
Электрическими цепями с … называют цепи, в которых сопротивление, индуктивность, проводимость, емкость распределены вдоль линии.
распределенными параметрами
нелинейными параметрами
сосредоточенными параметрами
магнитными параметрами
На рисунке представлено условно-графическое обозначение…
нелинейного резистора
нелинейного трансформатора
нелинейной катушки индуктивности
катушки индуктивности
В формуле на рисунке величина, обозначенная p_i, является …
Источник питания, выдающий выпрямленный ток повышенной пульсации – …
преобразователь
усилитель
однополупериодный выпрямитель
двухполупериодный выпрямитель
Линии, физическая длина которых может быть соизмерима с длиной волны, передаваемого вдоль линии сигнала, называются … линиями.
При решении большинства электротехнических задач достаточно подразделять все вещества на…
сильномагнитные, у которых μr≫1
сильномагнитные, у которых μr≪1
слабомагнитные (практически немагнитные), у которых μr≈1
слабомагнитные (практически немагнитные), у которых μr≪1
Переменный электрический ток распределяется неравномерно по сечению проводов, причем плотность тока имеет …. Это явление называется поверхностным эффектом.
наименьшие значения на поверхности провода и возрастает по мере удаления от поверхности в глубь провода
наибольшие значения на поверхности провода и убывает по мере удаления от поверхности в глубь провода
нулевое значение на поверхности провода и возрастает по мере удаления от поверхности в глубь провода
наибольшие значения на поверхности провода и равная нулю внутри провода
Вещества, в которых установился антиферромагнитный порядок магнитных моментов атомов или ионов, называются…
Если про среду известно, что параметры εa, μа и γ или хотя бы один из них зависят от величины электрического или магнитного поля, то это … среда.
линейная
нелинейная
однородная
неоднородная
На рисунке магнетрона цифрой 2 обозначен …
К неуправляемым элементам относятся …
лампа накаливания, полупроводниковый выпрямитель
транзистор, тиристор
фоторезистор, фотодиод
бареттер, газотрон
Неверно, что в нелинейных цепях…
действуют законы Кирхгоффа
соблюдается принцип наложения
присутствуют только нелинейные элементы
присутствуют как нелинейные, так и линейные элементы
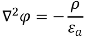
На рисунке представлено уравнение …
Джоуля
Максвелла
Пуассона
Лапласа
… – это такие линии, в которых для одного и того же момента времени ток и напряжение непрерывно изменяются при переходе от одной точки (сечения) линии к другой, соседней точке.
Электрические линии с распределенными параметрами
Длинные линии
Магнитные линии с распределенными параметрами
Однородные цепи Показать/скрыть дополнительное описание
Теоретические основы электротехники.ти_ФРК (3/3) УЧЕБНЫЕ МАТЕРИАЛЫ Тема 1. Нелинейные электрические цепи постоянного тока Тема 1. Практическое занятие 1. Расчет нелинейных цепей постоянного тока Тема 1. Практическое занятие 2. Построение вольтамперной характеристики для нелинейных цепей Тема 2. Магнитные цепи Тема 2. Практическое занятие 3. Расчет неразветвленной магнитной цепи Тема 2. Практическое занятие 4. Расчет разветвленной магнитной цепи методом двух узлов Тема 2. Практическое занятие 5. Расчет катушки с ферромагнитным сердечником Тема 3. Цепи с распределенными параметрами Тема 3. Практическое занятие 6. Расчет двухпроводной линии с малыми потерями Тема 3.
Практическое занятие 7. Примеры расчета коаксиального кабеля Тема 4. Теория электромагнитного поля Тема 4. Практическое занятие 8. Расчет электростатических полей Тема 4. Практическое занятие 9. Расчет стационарных электрических полей Тема 4. Практическое занятие 10. Расчет магнитных полей Тема 4. Практическое занятие 11. Использование уравнения Лапласа и Пуассона. Зеркальные изображения и другие приемы Тема 4. Практическое занятие 12. Расчет энергии и силы в магнитном поле Какой из перечисленных видов стабилизаторов напряжения и тока не существует на практике? Линейный стабилизатор с током до 10 А и входным напряжением до 40 В Линейный стабилизатор с током до 1 мА и входным напряжением до 4 В Импульсный понижающий стабилизатор с высоким входным напряжением Импульсный повышающий стабилизатор с низким входным напряжением На рисунке представлена формула для расчета… статического сопротивления нелинейного элемента дифференциального сопротивления нелинейного элемента активного сопротивления нелинейного элемента реактивного сопротивления нелинейного элемента … в общем случае называют совокупность катушек с током, ферромагнитных тел или каких-либо иных тел (сред), по которым замыкается магнитный поток.
Электрической цепью Магнитной цепью Электромагнитом Постоянным магнитом Напряжение в разных точках системы нельзя регулировать … изменением возбуждения генераторов изменением коэффициентов трансформации трансформаторов с помощью автоматизации потерь напряжения с помощью компенсирующих установок Цепи, в которых параметры цепи – сопротивление, проводимость, индуктивность, емкость – были сосредоточены на отдельных участках цепи, называются… электрическими цепями магнитными цепями цепями со сосредоточенными параметрами цепями с распределенными параметрами …имеет место при передаче энергии постоянным током на сверхдальние расстояния и в устройствах электроснабжения железных дорог постоянного тока при рекуперативном торможении ЭПС (электрического подвижного состава).
Стабилизация Выпрямление Инвертирование Генерирование Индукционные установки повышенной частоты питаются от специальных агрегатов, предназначенных для преобразования... трехфазного тока промышленной частоты в однофазный ток повышенной частоты однофазного тока повышенной частоты в трехфазный ток промышленной частоты постоянного тока в переменный переменного тока в постоянный На рисунке буквой L0 обозначена… индуктивность цепи, определяемая магнитным потоком, который сцепляется с контуром тока, образуемым токоведущими проводами поперечная проводимость или проводимость утечки, вызванная несовершенством изоляции проводов емкость цепи, обусловленная емкостью проводов по отношению к земле емкость цепи, обусловленная емкостью между проводами На изображении сопротивления, обозначенные Z1, Z2, Z3 , являются … сопротивлениями.
продольными поперечными активными реактивными Примерами цепей с распределенными параметрами являются … линии электропередач и высокочастотные коаксиальные линии радиотехнических и телевизионных устройств линии электропередач и высокочастотные коаксиальные линии радиотехнических и телевизионных устройств, обмотки трансформаторов и электрических машин при воздействии на них импульсных токов и напряжений высокочастотные коаксиальные линии радиотехнических и телевизионных устройств обмотки трансформаторов и электрических машин при воздействии на них импульсных токов и напряжений На рисунке представлена формула для расчета… статического сопротивления нелинейного элемента дифференциального сопротивления нелинейного элемента активного сопротивления нелинейного элемента реактивного сопротивления нелинейного элемента На рисунке представлена формула … разности напряжений на входе и выходе схемы при инвертировании напряжения инвертирования результирующего инвертированного напряжения среднего значения коммутационных потерь при инвертировании Количественная связь между линейным интегралом от вектора напряженности магнитного поля H ⃗ вдоль любого произвольного контура и алгебраической суммой токов ∑I, охваченных этим контуром, определяется законом … непрерывности магнитного потока Кирхгофа полного тока Ома Соотношение на рисунке выражает закон … Джоуля-Ленца в интегральной форме Джоуля-Ленца в дифференциальной форме Лапласа-Пуассона Максвелла Все вещества по их магнитным свойствам подразделяются на… диамагнитные, парамагнитные, ферромагнитные ферромагнитные, ферримагнитные и антиферромагнитные магнитные и немагнитные диамагнитные, парамагнитные, ферромагнитные, ферримагнитные и антиферромагнитные … материалы легко перемагничиваются в переменном магнитном поле, поэтому из них изготовляют сердечники и магнитопроводы для электрических машин, трансформаторов и электромагнитов.
Магнитные Ферромагнитные Магнито-мягкие Магнито-твердые По частоте потребляемого тока индукционные установки подразделяют на установки... низкочастотные, высокочастотные и сверхвысокочастотные ультранизкочастотные, низкочастотные и высокочастотные промышленной, повышенной и высокой частоты повышенной и высокой частоты … основан на поглощении ими электромагнитной энергии, возникновении наведенных вихревых токов, нагревающих тело по закону Джоуля-Ленца. Диэлектрический нагрев проводящих тел Сверхпроводящий нагрев тел Конденсаторный нагрев проводящих тел Индукционный нагрев проводящих тел Уравнения на рисунке называются… телеграфными уравнениями уравнениями распределенной линии законами Кирхгофа законами длинных линий Катушку индуктивности, включаемую в цепь с целью ограничения силы переменного тока или предохранения цепи постоянного тока от появления в ней составляющей переменного тока, называют… ферромагнитной катушкой ферромагнитным трансформатором электрическим дросселем магнитной катушкой … определяют как силу, с которой электрическое поле действует на точечный положительный единичный заряд.
Напряженность электрического поля Е Напряжение поля U Магнитную индукцию B Силу Кулона Линия является …, если в произвольном поперечном сечении параметры среды неизменны. однородной Чаще всего для расчета нелинейных электрических цепей постоянного тока используют … методы. графические, аналитические и графо-аналитические итерационные и логарифмические математические и аналитические графические в 2D и логарифмические В том случае, если коэффициент отражения равен единице, то есть при равенстве амплитуд отраженной и падающей волн, в линии возникают … волны напряжения и тока. отраженные прямые стоячие бегущие В цепях … ток и напряжение являются функциями только одной переменной – времени.
со сосредоточенными параметрами с распределенными параметрами с электрическими параметрами с магнитными параметрами Для решения «прямой» задачи для неразветвленной магнитной цепи в первую очередь необходимо … исходя из постоянства магнитного потока вдоль всей цепи, определить значения индукции для каждого участка наметить среднюю линию, которая затем делится на участки с одинаковым сечением магнитопровода определить искомую намагничивающую силу путем суммирования падений магнитного напряжения вдоль контура найти напряженности на ферромагнитных участках Линию с распределенными параметрами называют однородной, если … равны друг другу все продольные сопротивления участков линии одинаковой длины и если равны друг другу все поперечные сопротивления участков линии одинаковой длины все поперечные и продольные сопротивления равны между собой количество продольных сопротивлений равно количеству поперечных сопротивлений равны друг другу все продольные сопротивления и если равны друг другу все поперечные сопротивления «Обратная» задача для магнитной цепи решается… методом.
графическим аналитическим интегральным итерационным На рисунке представлена формула для силы… – полной силы, действующей на точечный заряд q, находящийся в электромагнитном поле. Кулона Лоренца Ньютона Максвелла Величина под названием магнитная постоянная обозначается … kм kм μа μ0 В качестве примера … можно назвать электрическую линию передачи высокого напряжения при наличии между проводами линии тихого электрического разряда — явления короны на проводах. Линия называется …, если в продольном направлении неизменны ее поперечное сечение, положение его в пространстве и электромагнитные свойства заполняющих ее сред. однородной неоднородной нерегулярной регулярной … уравнение Максвелла – это обобщенный закон электромагнитной индукции, сформулированный Фарадеем: переменный магнитный поток Ф, пронизывающий контур, наводит в нем ЭДС е, равную скорости изменения потока.
На рисунке представлена формула…, которая характеризуется объемной плотностью, определенной как предел отношения. объемного распределения зарядов электромагнитной плотности основного закона электромагнитного поля закона Кулона Величина магнитной индукции обозначается латинской буквой B и измеряется в … Гн/м а/м Тл Вб Во всех ферромагнитных материалах наблюдается явление, известное под названием магнитного… Оно проявляется при намагничивании материала сначала в одном, а затем в противоположном направлении. резонанса гистерезиса явления электричества На рисунке цифрой 1 обозначен … индуктор магнитный поток в нагреваемом теле наведенный ток воздушный зазор … – это устройство, напряжение на выходе которого поддерживается постоянным или почти постоянным при изменен....
Список вопросов

















Характеристики ответов (шпаргалок) к экзамену

