Для студентов МГТУ им. Н.Э.Баумана по предмету Теоретическая механикаКинематика плоского движения твердого телаКинематика плоского движения твердого тела
5,0052
2021-09-022021-09-02СтудИзба
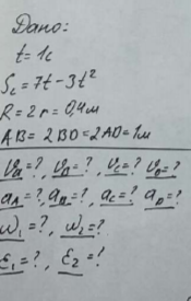
ДЗ 2: Кинематика плоского движения твердого тела вариант 19
Описание
Принято Орлянской, на отл
![]()

Характеристики домашнего задания
Предмет
Учебное заведение
Семестр
Номер задания
Вариант
Просмотров
71
Размер
567,03 Kb
Список файлов
Вариант 19 ДЗ2.pdf
МГТУ им. Н.Э.Баумана



















